🇳🇴 🇬🇧 🇩🇪 🇨🇿 🇫🇮

Meteor, poloha: Tonstad 2017-02-17 03:01:30 UTC

Soubor KML  |  InteraktivnĂ­ mapa

Mapa zobrazuje dráhy meteoru. Světlejší čáry ukazují směry od pozorovacích stanic při objevení se meteoru a tmavší čáry, kde byl naposledy viděn. Modrá šipka značí viditelnou dráhu meteoru.

static map
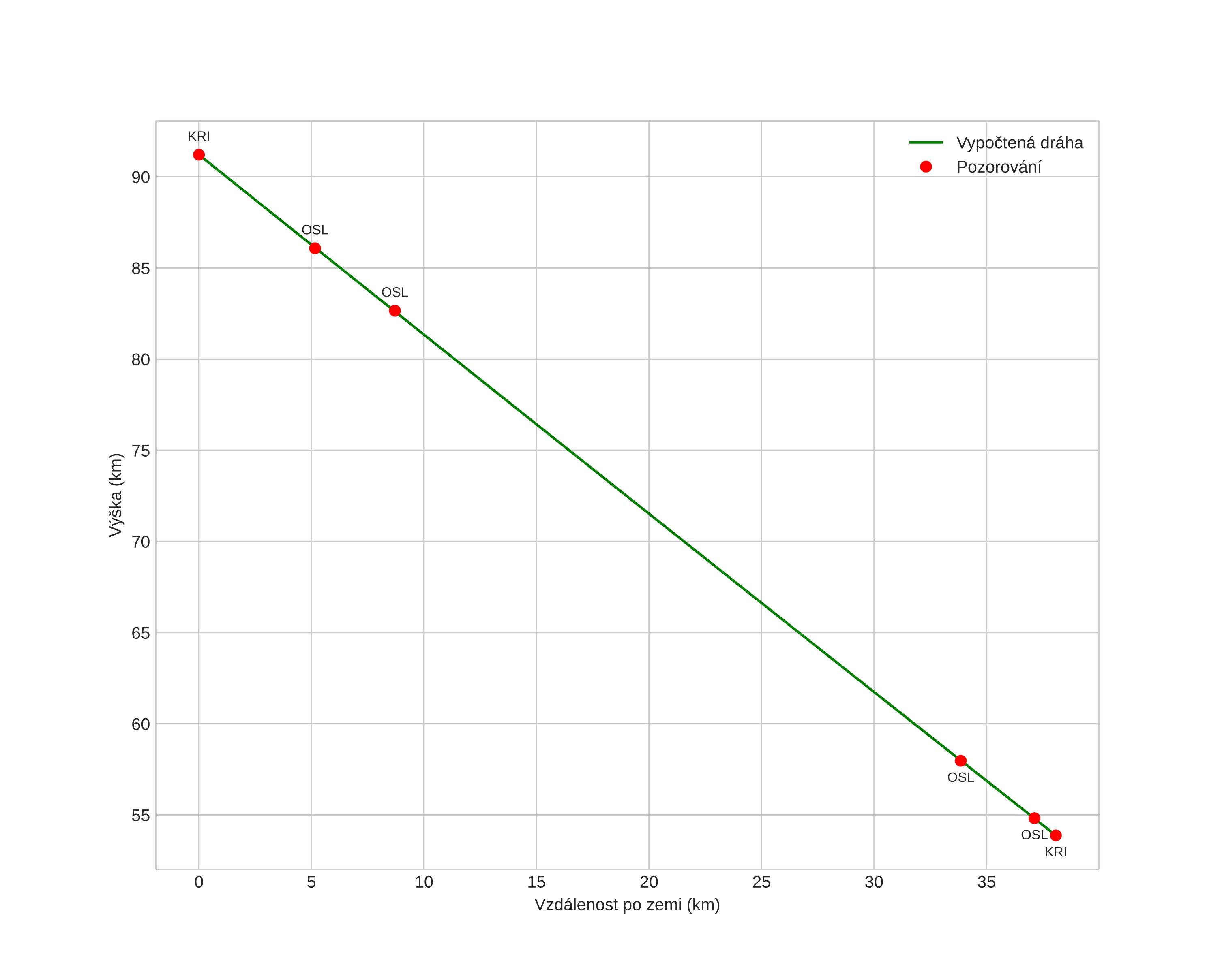
height profile
Atmosférická dráha meteoru:
Počáteční výška: 91,2 km
Konečná výška: 53,9 km
Počáteční poloha: 59,277N 7,182E
Konečná poloha: 59,057N 6,670E
Směr: 230,2°
Sklon: 44,4°
VstupnĂ­ rychlost: 26,4 km/s
Rektascenze radiantu: 19:45 (296,3°)
Deklinace radiantu: 55,3°
MeteorickĂ˝ roj: sporadickĂ˝
Elementy dráhy meteoroidu:
Vzdálenost v periheliu: 0,946 AU
Excentricita: 0,683
Sklon dráhy: 36,8°
Délka vzestupného uzlu: 328,4°
Argument perihelia: 153,4°
Střední anomálie: 3,8°
Epocha: 2017 FEB 17 03:01:30
orbit plot

NeinteraktivnĂ­ graf | InteraktivnĂ­ graf

position vs time
speed and acceleration