🇳🇴 🇬🇧 🇩🇪 🇨🇿 🇫🇮

Meteor, poloha: Tjøme 2017-02-24 19:45:32 UTC

Soubor KML  |  InteraktivnĂ­ mapa

Mapa zobrazuje dráhy meteoru. Světlejší čáry ukazují směry od pozorovacích stanic při objevení se meteoru a tmavší čáry, kde byl naposledy viděn. Modrá šipka značí viditelnou dráhu meteoru.

static map
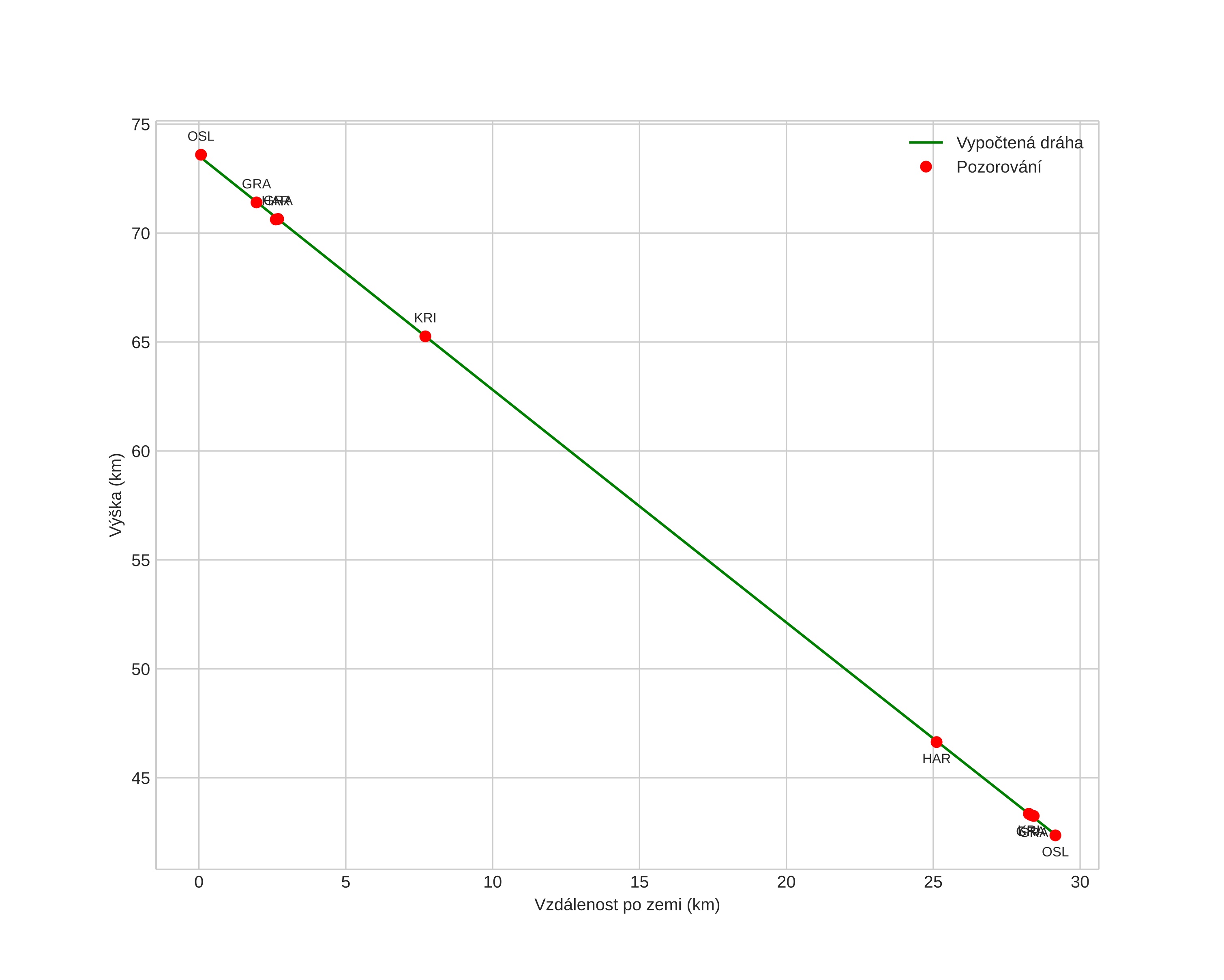
height profile
Atmosférická dráha meteoru:
Počáteční výška: 73,5 km
Konečná výška: 42,4 km
Počáteční poloha: 58,699N 9,908E
Konečná poloha: 58,874N 10,285E
Směr: 48,0°
Sklon: 46,8°
VstupnĂ­ rychlost: 13,5 km/s
Rektascenze radiantu: 04:05 (61,3°)
Deklinace radiantu: 11,1°
MeteorickĂ˝ roj: sporadickĂ˝
Elementy dráhy meteoroidu:
Vzdálenost v periheliu: 0,989 AU
Excentricita: 0,600
Sklon dráhy: 2,0°
Délka vzestupného uzlu: 156,2°
Argument perihelia: 355,8°
Střední anomálie: 0,8°
Epocha: 2017 FEB 24 19:45:32
orbit plot

NeinteraktivnĂ­ graf | InteraktivnĂ­ graf

position vs time
speed and acceleration