🇳🇴 🇬🇧 🇩🇪 🇨🇿 🇫🇮

Meteor, poloha: Kinna 2017-02-25 03:52:26 UTC

Soubor KML  |  InteraktivnĂ­ mapa

Mapa zobrazuje dráhy meteoru. Světlejší čáry ukazují směry od pozorovacích stanic při objevení se meteoru a tmavší čáry, kde byl naposledy viděn. Modrá šipka značí viditelnou dráhu meteoru.

static map
height profile
Atmosférická dráha meteoru:
Počáteční výška: 75,4 km
Konečná výška: 48,5 km
Počáteční poloha: 57,609N 11,740E
Konečná poloha: 57,375N 12,701E
Směr: 114,0°
Sklon: 23,1°
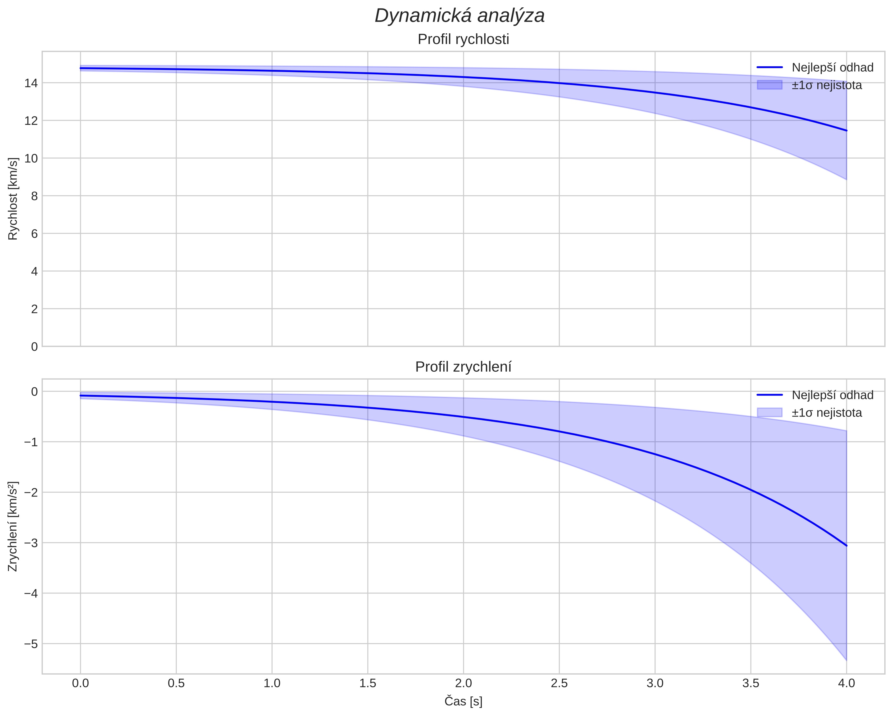
VstupnĂ­ rychlost: 14,8 km/s
Rektascenze radiantu: 07:54 (118,7°)
Deklinace radiantu: 19,1°
MeteorickĂ˝ roj: sporadickĂ˝
Elementy dráhy meteoroidu:
Vzdálenost v periheliu: 0,936 AU
Excentricita: 0,570
Sklon dráhy: 0,5°
Délka vzestupného uzlu: 156,6°
Argument perihelia: 31,6°
Střední anomálie: 352,6°
Epocha: 2017 FEB 25 03:52:26
orbit plot

NeinteraktivnĂ­ graf | InteraktivnĂ­ graf

position vs time
speed and acceleration