🇳🇴 🇬🇧 🇩🇪 🇨🇿 🇫🇮

Meteor, poloha: Løkken 2017-03-04 00:47:37 UTC

Soubor KML  |  InteraktivnĂ­ mapa

Mapa zobrazuje dráhy meteoru. Světlejší čáry ukazují směry od pozorovacích stanic při objevení se meteoru a tmavší čáry, kde byl naposledy viděn. Modrá šipka značí viditelnou dráhu meteoru.

static map
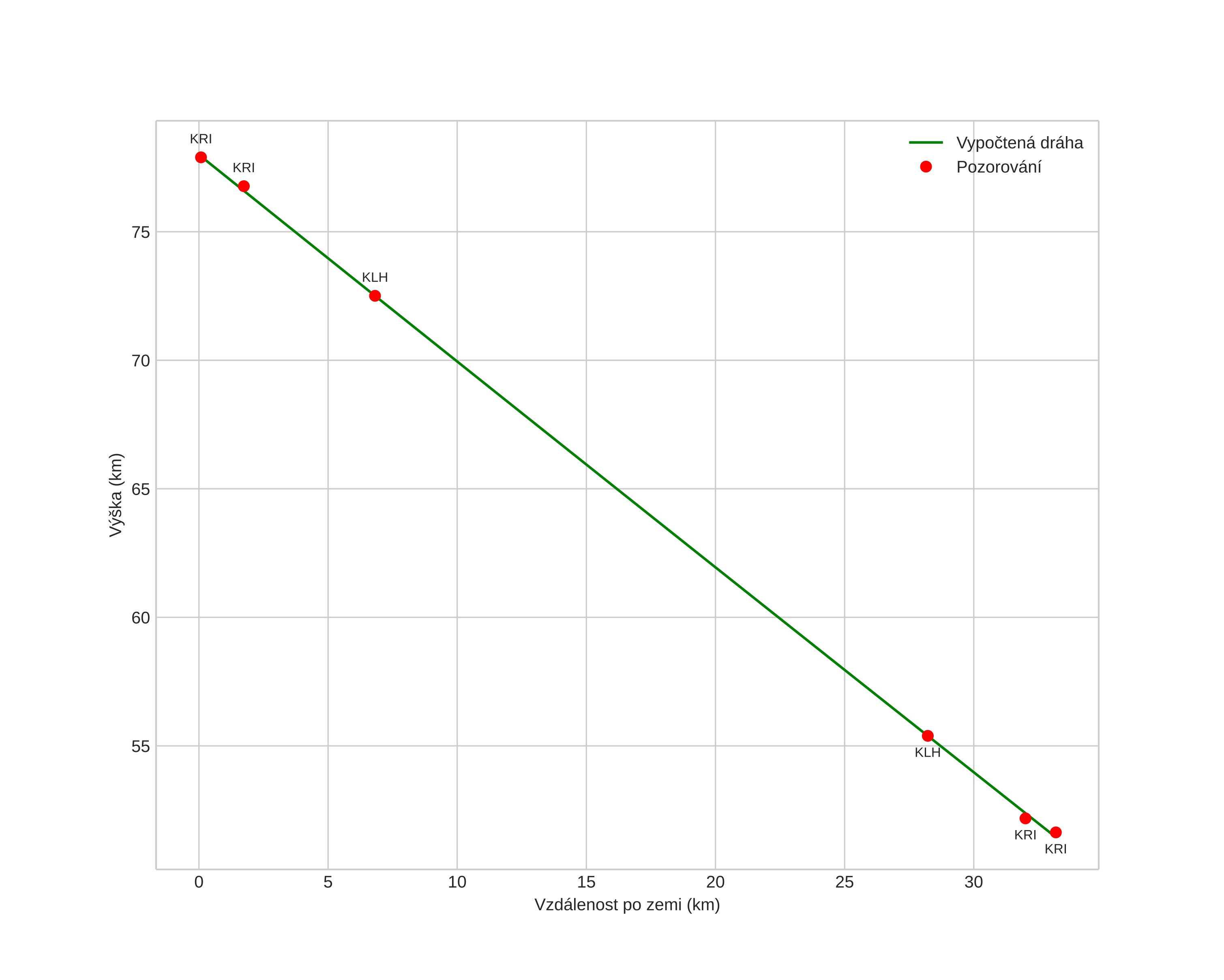
height profile
Atmosférická dráha meteoru:
Počáteční výška: 78,0 km
Konečná výška: 51,5 km
Počáteční poloha: 57,050N 9,426E
Konečná poloha: 57,325N 9,636E
Směr: 22,4°
Sklon: 38,7°
VstupnĂ­ rychlost: 28,7 km/s
Rektascenze radiantu: 10:58 (164,6°)
Deklinace radiantu: 5,4°
MeteorickĂ˝ roj: sporadickĂ˝
Elementy dráhy meteoroidu:
Vzdálenost v periheliu: 0,529 AU
Excentricita: 0,871
Sklon dráhy: 0,9°
Délka vzestupného uzlu: 163,4°
Argument perihelia: 90,1°
Střední anomálie: 355,1°
Epocha: 2017 MAR 04 00:47:37
orbit plot

NeinteraktivnĂ­ graf | InteraktivnĂ­ graf

position vs time
speed and acceleration