🇳🇴 🇬🇧 🇩🇪 🇨🇿 🇫🇮

Meteor, poloha: VikesĂĄ 2017-03-10 02:20:40 UTC

Soubor KML  |  InteraktivnĂ­ mapa

Mapa zobrazuje dráhy meteoru. Světlejší čáry ukazují směry od pozorovacích stanic při objevení se meteoru a tmavší čáry, kde byl naposledy viděn. Modrá šipka značí viditelnou dráhu meteoru.

static map
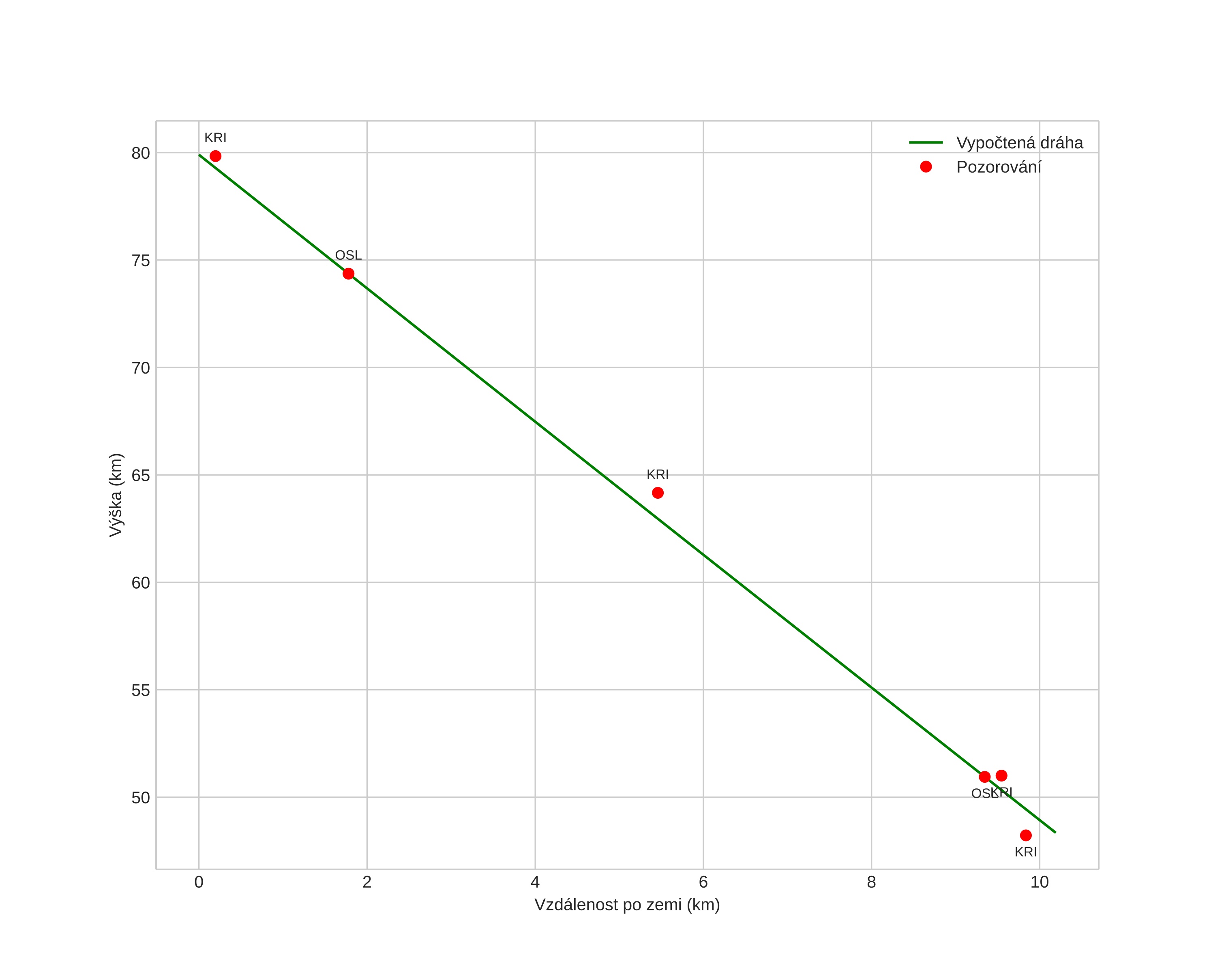
height profile
Atmosférická dráha meteoru:
Počáteční výška: 79,9 km
Konečná výška: 48,3 km
Počáteční poloha: 58,751N 6,413E
Konečná poloha: 58,682N 6,297E
Směr: 221,4°
Sklon: 72,1°
VstupnĂ­ rychlost: 24,1 km/s
Rektascenze radiantu: 16:20 (245,1°)
Deklinace radiantu: 69,5°
MeteorickĂ˝ roj: sporadickĂ˝
Elementy dráhy meteoroidu:
Vzdálenost v periheliu: 0,985 AU
Excentricita: 0,592
Sklon dráhy: 34,1°
Délka vzestupného uzlu: 349,5°
Argument perihelia: 192,1°
Střední anomálie: 357,5°
Epocha: 2017 MAR 10 02:20:40
orbit plot

NeinteraktivnĂ­ graf | InteraktivnĂ­ graf

position vs time
speed and acceleration