🇳🇴 🇬🇧 🇩🇪 🇨🇿 🇫🇮

Meteor, poloha: Larvik 2017-03-14 21:02:06 UTC

Soubor KML  |  InteraktivnĂ­ mapa

Mapa zobrazuje dráhy meteoru. Světlejší čáry ukazují směry od pozorovacích stanic při objevení se meteoru a tmavší čáry, kde byl naposledy viděn. Modrá šipka značí viditelnou dráhu meteoru.

static map
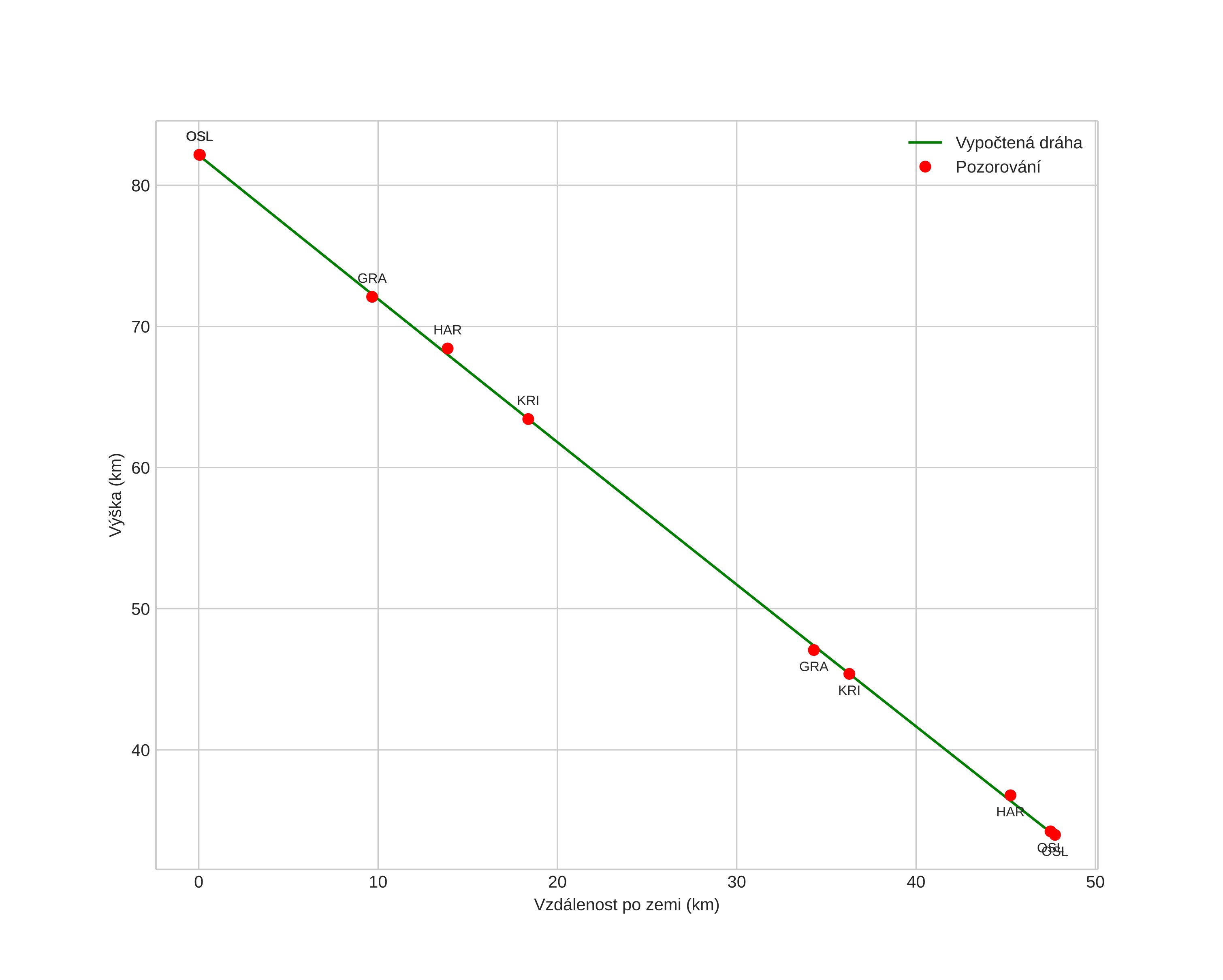
height profile
Atmosférická dráha meteoru:
Počáteční výška: 82,1 km
Konečná výška: 33,9 km
Počáteční poloha: 59,073N 9,233E
Konečná poloha: 59,085N 10,067E
Směr: 87,9°
Sklon: 45,3°
VstupnĂ­ rychlost: 12,0 km/s
Rektascenze radiantu: 04:07 (61,8°)
Deklinace radiantu: 19,4°
MeteorickĂ˝ roj: sporadickĂ˝
Elementy dráhy meteoroidu:
Vzdálenost v periheliu: 0,986 AU
Excentricita: 0,343
Sklon dráhy: 0,2°
Délka vzestupného uzlu: 174,3°
Argument perihelia: 345,7°
Střední anomálie: 6,6°
Epocha: 2017 MAR 14 21:02:06
orbit plot

NeinteraktivnĂ­ graf | InteraktivnĂ­ graf

position vs time
speed and acceleration