🇳🇴 🇬🇧 🇩🇪 🇨🇿 🇫🇮

Meteor, poloha: Prestfoss 2017-03-15 00:58:29 UTC

Soubor KML  |  InteraktivnĂ­ mapa

Mapa zobrazuje dráhy meteoru. Světlejší čáry ukazují směry od pozorovacích stanic při objevení se meteoru a tmavší čáry, kde byl naposledy viděn. Modrá šipka značí viditelnou dráhu meteoru.

static map
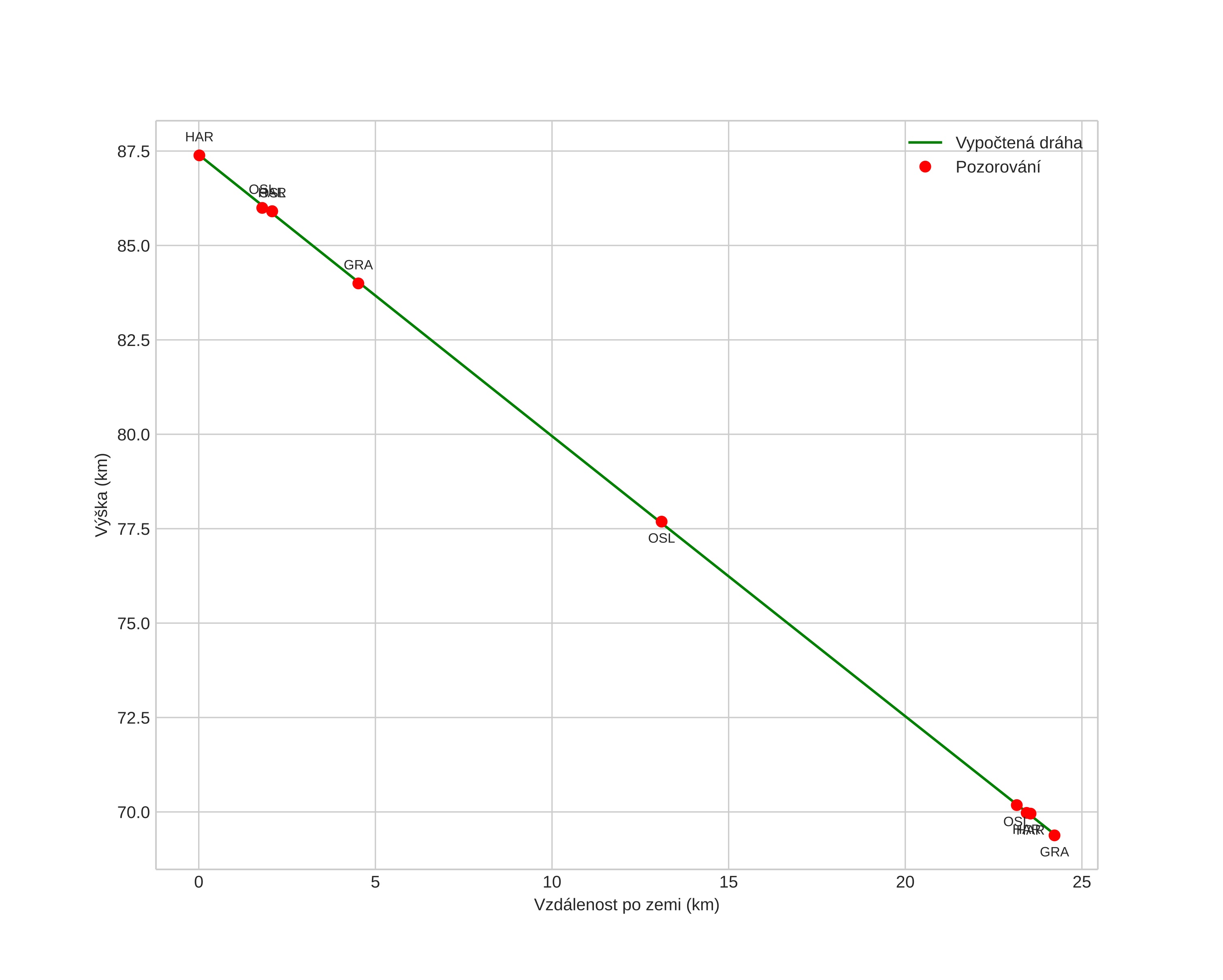
height profile
Atmosférická dráha meteoru:
Počáteční výška: 87,4 km
Konečná výška: 69,4 km
Počáteční poloha: 59,802N 9,480E
Konečná poloha: 60,011N 9,602E
Směr: 16,2°
Sklon: 36,6°
VstupnĂ­ rychlost: 30,4 km/s
Rektascenze radiantu: 12:11 (182,9°)
Deklinace radiantu: 5,3°
MeteorickĂ˝ roj: sporadickĂ˝
Elementy dráhy meteoroidu:
Vzdálenost v periheliu: 0,441 AU
Excentricita: 0,857
Sklon dráhy: 6,3°
Délka vzestupného uzlu: 354,4°
Argument perihelia: 281,9°
Střední anomálie: 352,3°
Epocha: 2017 MAR 15 00:58:29
orbit plot

NeinteraktivnĂ­ graf | InteraktivnĂ­ graf

position vs time
speed and acceleration