🇳🇴 🇬🇧 🇩🇪 🇨🇿 🇫🇮

Meteor, poloha: Dokka 2017-03-15 21:21:27 UTC

Soubor KML  |  InteraktivnĂ­ mapa

Mapa zobrazuje dráhy meteoru. Světlejší čáry ukazují směry od pozorovacích stanic při objevení se meteoru a tmavší čáry, kde byl naposledy viděn. Modrá šipka značí viditelnou dráhu meteoru.

static map
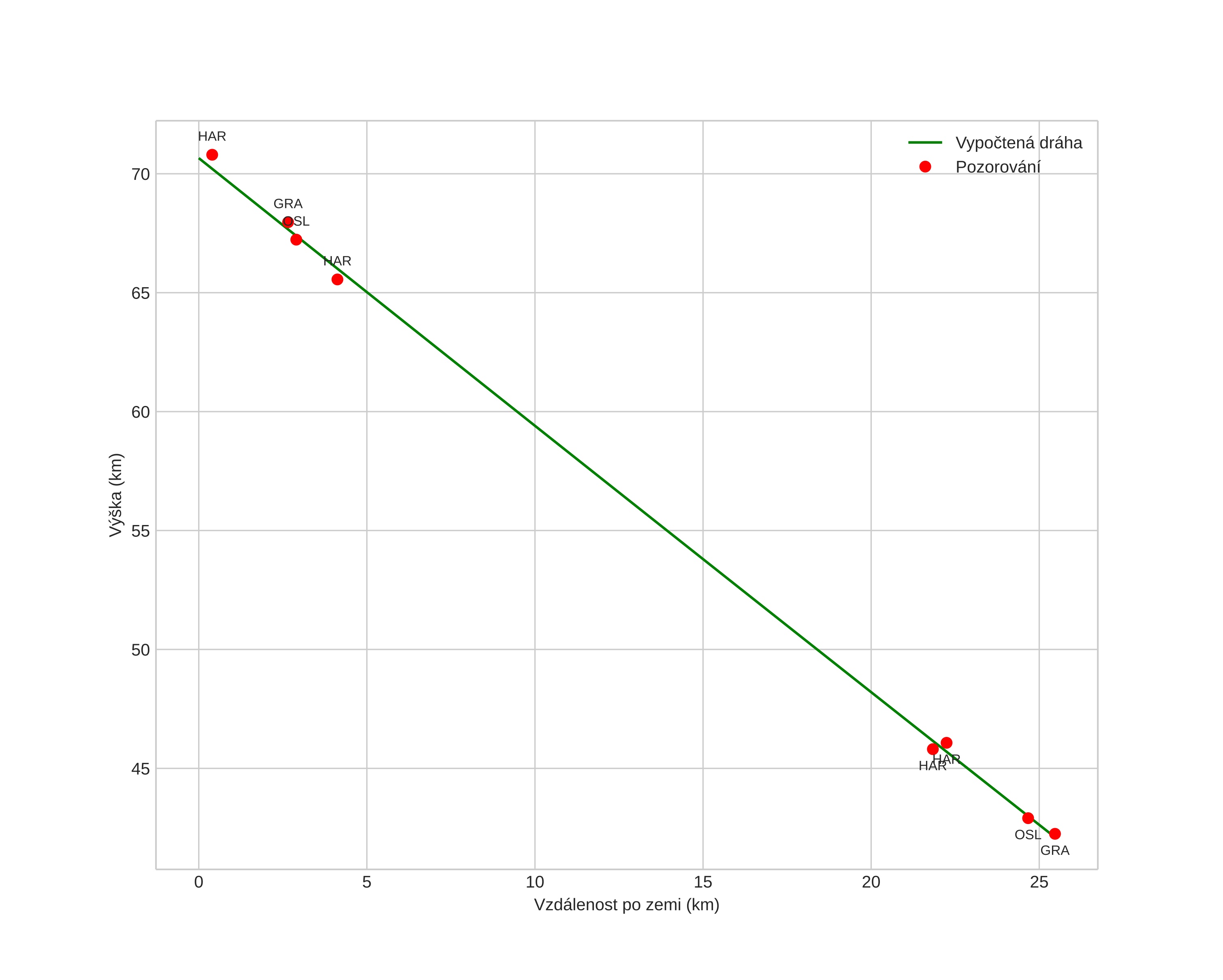
height profile
Atmosférická dráha meteoru:
Počáteční výška: 70,7 km
Konečná výška: 42,2 km
Počáteční poloha: 60,875N 9,866E
Konečná poloha: 61,102N 9,913E
Směr: 5,7°
Sklon: 48,3°
VstupnĂ­ rychlost: 12,7 km/s
Rektascenze radiantu: 09:10 (137,5°)
Deklinace radiantu: 4,3°
MeteorickĂ˝ roj: sporadickĂ˝
Elementy dráhy meteoroidu:
Vzdálenost v periheliu: 0,959 AU
Excentricita: 0,311
Sklon dráhy: 2,1°
Délka vzestupného uzlu: 175,2°
Argument perihelia: 32,1°
Střední anomálie: 343,6°
Epocha: 2017 MAR 15 21:21:27
orbit plot

NeinteraktivnĂ­ graf | InteraktivnĂ­ graf

position vs time
speed and acceleration