🇳🇴 🇬🇧 🇩🇪 🇨🇿 🇫🇮

Meteor, poloha: Bygland 2017-03-15 22:52:59 UTC

Soubor KML  |  InteraktivnĂ­ mapa

Mapa zobrazuje dráhy meteoru. Světlejší čáry ukazují směry od pozorovacích stanic při objevení se meteoru a tmavší čáry, kde byl naposledy viděn. Modrá šipka značí viditelnou dráhu meteoru.

static map
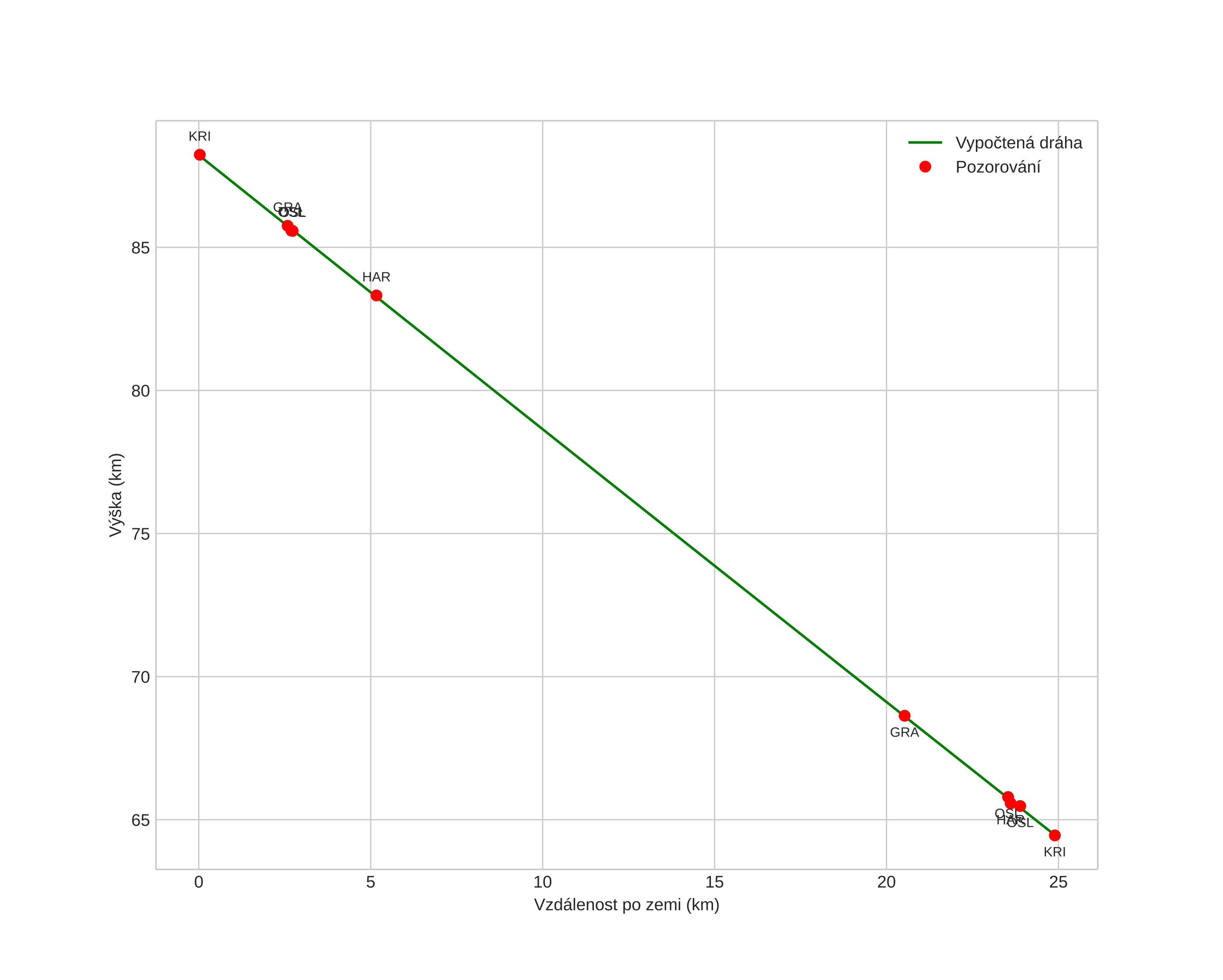
height profile
Atmosférická dráha meteoru:
Počáteční výška: 88,2 km
Konečná výška: 64,5 km
Počáteční poloha: 58,629N 7,525E
Konečná poloha: 58,809N 7,782E
Směr: 36,4°
Sklon: 43,6°
VstupnĂ­ rychlost: 15,3 km/s
Rektascenze radiantu: 08:54 (133,7°)
Deklinace radiantu: 8,0°
MeteorickĂ˝ roj: sporadickĂ˝
Elementy dráhy meteoroidu:
Vzdálenost v periheliu: 0,944 AU
Excentricita: 0,611
Sklon dráhy: 2,6°
Délka vzestupného uzlu: 175,3°
Argument perihelia: 30,1°
Střední anomálie: 354,0°
Epocha: 2017 MAR 15 22:52:59
orbit plot

NeinteraktivnĂ­ graf | InteraktivnĂ­ graf

position vs time
speed and acceleration