🇳🇴 🇬🇧 🇩🇪 🇨🇿 🇫🇮

Meteor, poloha: Rjukan 2017-03-17 03:23:57 UTC

Soubor KML  |  InteraktivnĂ­ mapa

Mapa zobrazuje dráhy meteoru. Světlejší čáry ukazují směry od pozorovacích stanic při objevení se meteoru a tmavší čáry, kde byl naposledy viděn. Modrá šipka značí viditelnou dráhu meteoru.

static map
height profile
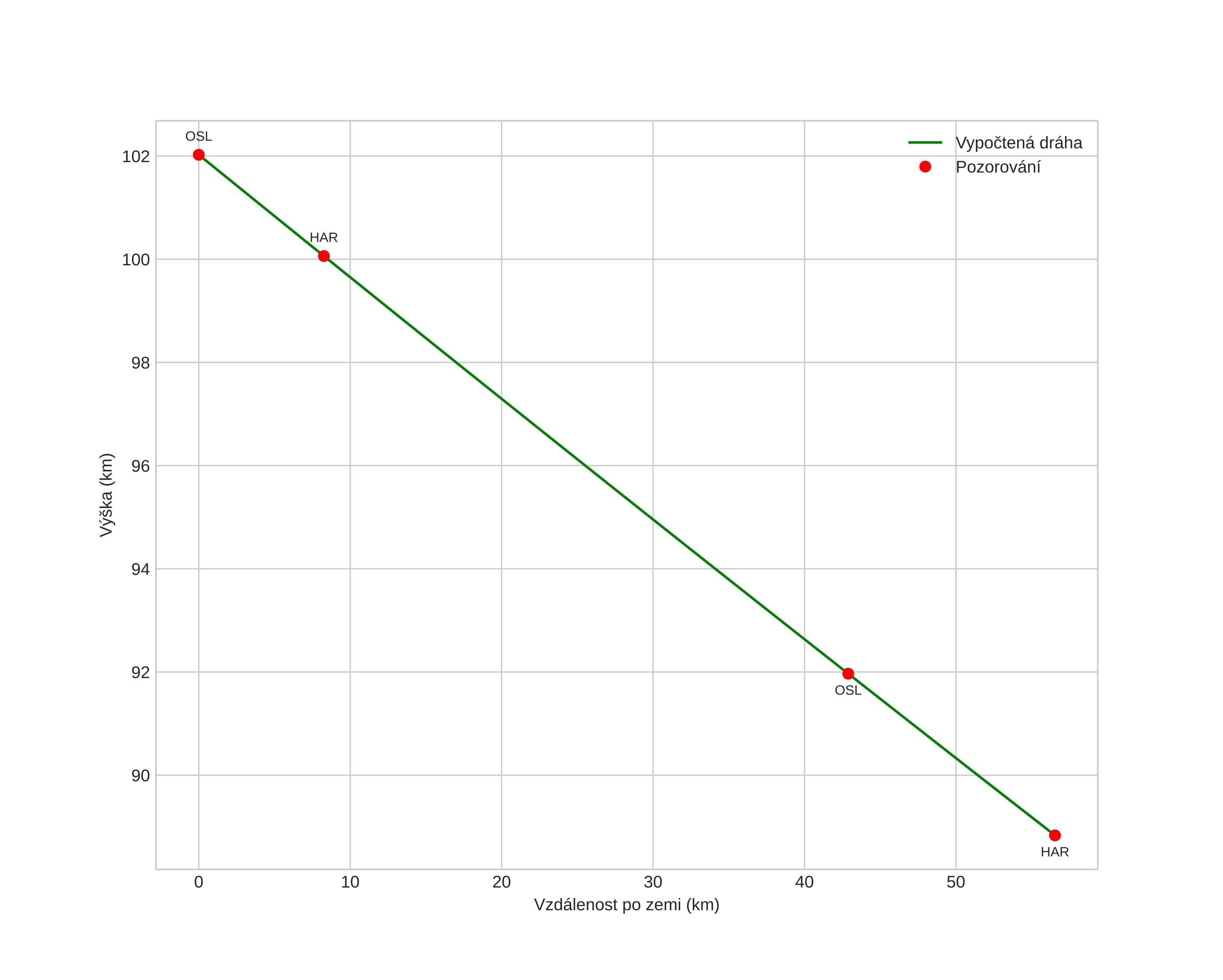
Atmosférická dráha meteoru:
Počáteční výška: 102,0 km
Konečná výška: 88,8 km
Počáteční poloha: 59,661N 9,523E
Konečná poloha: 59,846N 8,582E
Směr: 291,8°
Sklon: 13,1°
VstupnĂ­ rychlost: 62,6 km/s
Rektascenze radiantu: 20:00 (300,1°)
Deklinace radiantu: 0,1°
MeteorickĂ˝ roj: sporadickĂ˝
Elementy dráhy meteoroidu:
Vzdálenost v periheliu: 0,397 AU
Excentricita: 1,052
Sklon dráhy: 128,3°
Délka vzestupného uzlu: 356,5°
Argument perihelia: 80,1°
Střední anomálie: 1,7°
Epocha: 2017 MAR 17 03:23:57
orbit plot

NeinteraktivnĂ­ graf | InteraktivnĂ­ graf

position vs time
speed and acceleration