🇳🇴 🇬🇧 🇩🇪 🇨🇿 🇫🇮

Meteor, poloha: Roa 2017-03-21 04:12:22 UTC

Soubor KML  |  InteraktivnĂ­ mapa

Mapa zobrazuje dráhy meteoru. Světlejší čáry ukazují směry od pozorovacích stanic při objevení se meteoru a tmavší čáry, kde byl naposledy viděn. Modrá šipka značí viditelnou dráhu meteoru.

static map
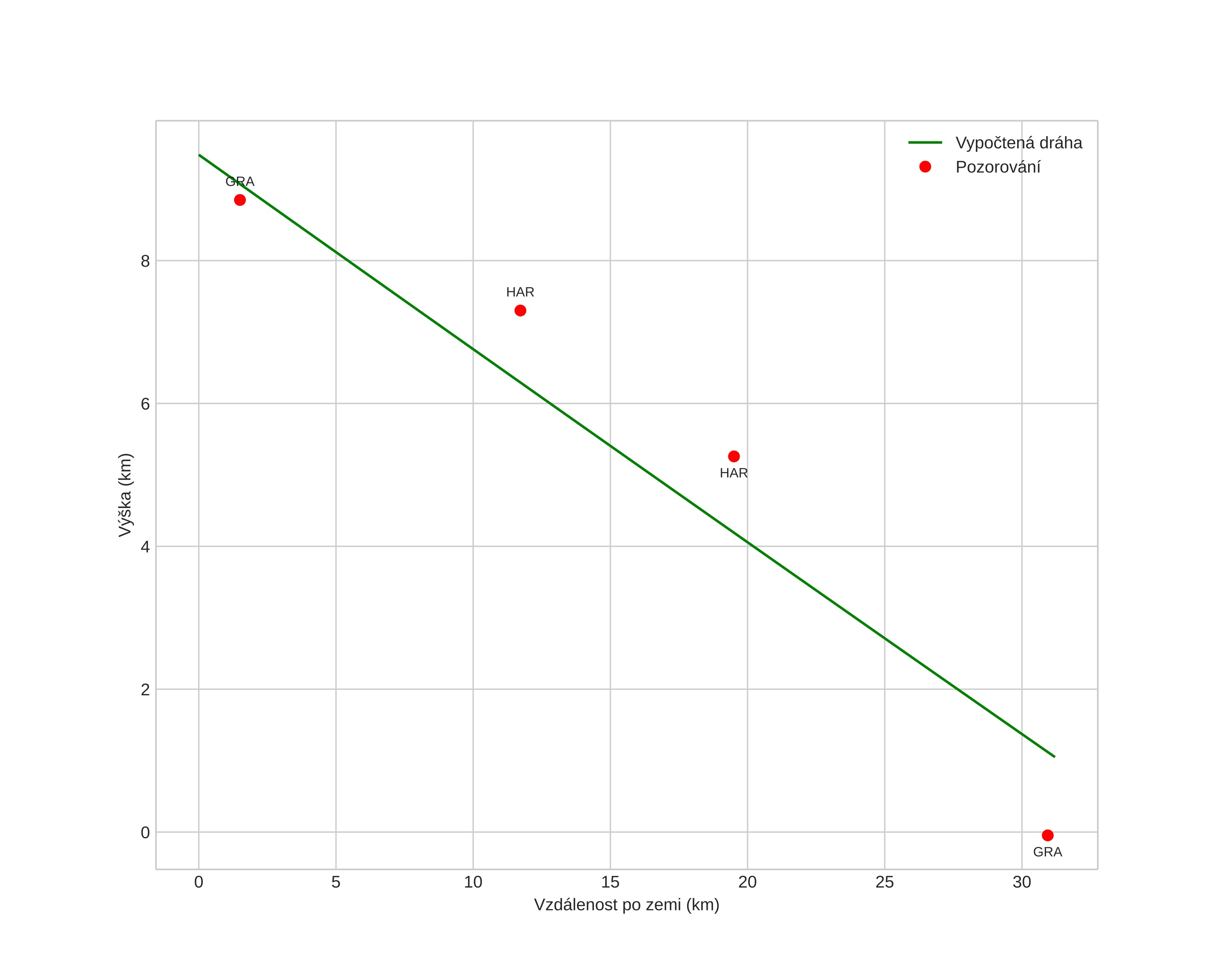
height profile
Atmosférická dráha meteoru:
Počáteční výška: 9,5 km
Konečná výška: 1,0 km
Počáteční poloha: 60,569N 10,269E
Konečná poloha: 60,334N 10,579E
Směr: 146,9°
Sklon: 15,2°
VstupnĂ­ rychlost: 13,9 km/s
Rektascenze radiantu: 07:10 (107,6°)
Deklinace radiantu: 18,2°
MeteorickĂ˝ roj: sporadickĂ˝
Elementy dráhy meteoroidu:
Vzdálenost v periheliu: 0,993 AU
Excentricita: 0,631
Sklon dráhy: 0,9°
Délka vzestupného uzlu: 180,5°
Argument perihelia: 7,3°
Střední anomálie: 358,7°
Epocha: 2017 MAR 21 04:12:22
orbit plot

NeinteraktivnĂ­ graf | InteraktivnĂ­ graf

position vs time
speed and acceleration