🇳🇴 🇬🇧 🇩🇪 🇨🇿 🇫🇮

Meteor, poloha: HommersĂĄk 2017-04-03 01:01:46 UTC

Soubor KML  |  InteraktivnĂ­ mapa

Mapa zobrazuje dráhy meteoru. Světlejší čáry ukazují směry od pozorovacích stanic při objevení se meteoru a tmavší čáry, kde byl naposledy viděn. Modrá šipka značí viditelnou dráhu meteoru.

static map
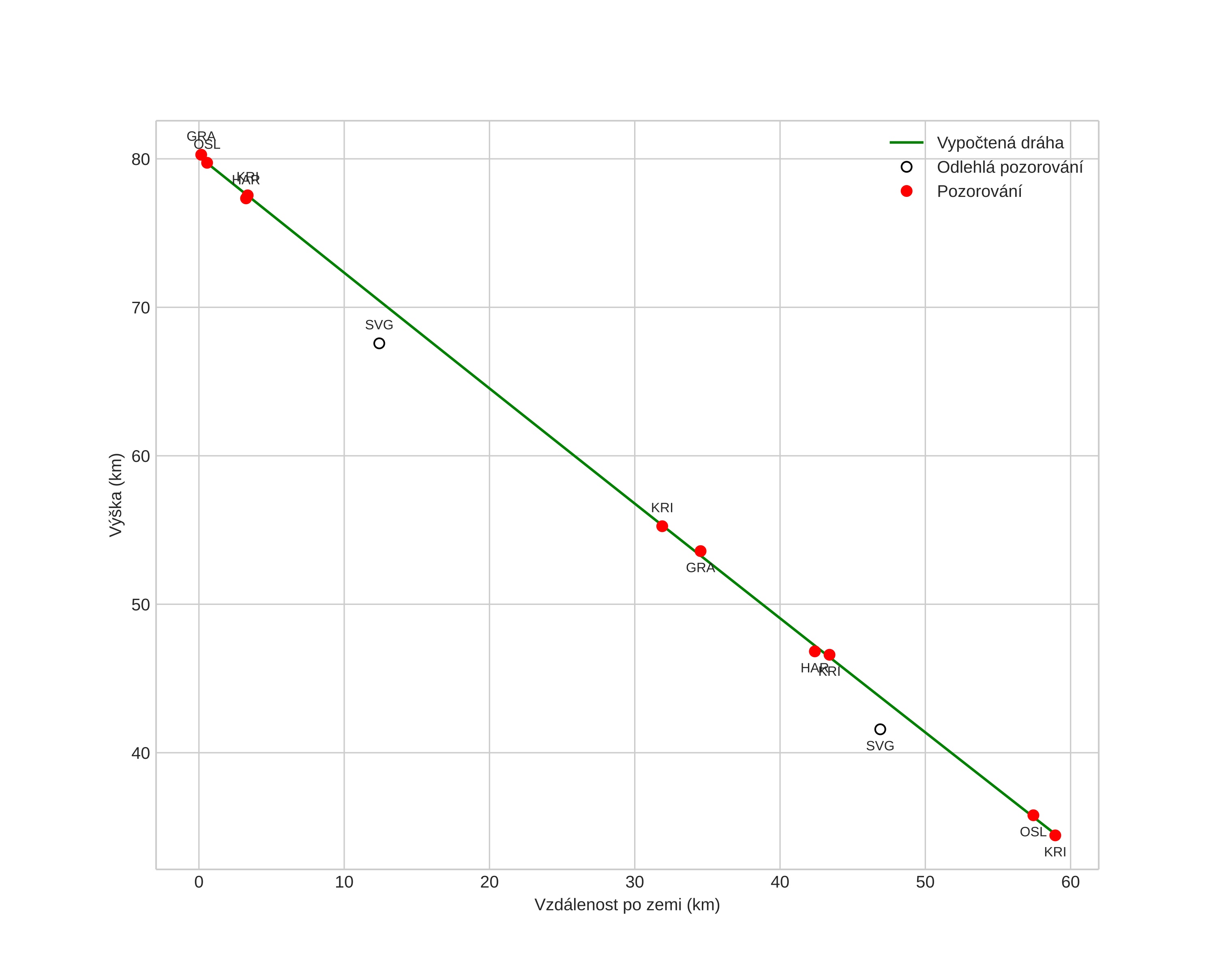
height profile
Atmosférická dráha meteoru:
Počáteční výška: 80,2 km
Konečná výška: 34,5 km
Počáteční poloha: 58,455N 5,333E
Konečná poloha: 58,925N 5,806E
Směr: 27,4°
Sklon: 37,8°
VstupnĂ­ rychlost: 23,6 km/s
Rektascenze radiantu: 12:36 (189,1°)
Deklinace radiantu: 5,5°
MeteorickĂ˝ roj: sporadickĂ˝
Elementy dráhy meteoroidu:
Vzdálenost v periheliu: 0,677 AU
Excentricita: 0,758
Sklon dráhy: 5,6°
Délka vzestupného uzlu: 13,2°
Argument perihelia: 255,4°
Střední anomálie: 351,0°
Epocha: 2017 APR 03 01:01:46
orbit plot

NeinteraktivnĂ­ graf | InteraktivnĂ­ graf

position vs time
speed and acceleration