🇳🇴 🇬🇧 🇩🇪 🇨🇿 🇫🇮

Meteor, poloha: Kongsberg 2017-04-03 03:12:57 UTC

Soubor KML  |  InteraktivnĂ­ mapa

Mapa zobrazuje dráhy meteoru. Světlejší čáry ukazují směry od pozorovacích stanic při objevení se meteoru a tmavší čáry, kde byl naposledy viděn. Modrá šipka značí viditelnou dráhu meteoru.

static map
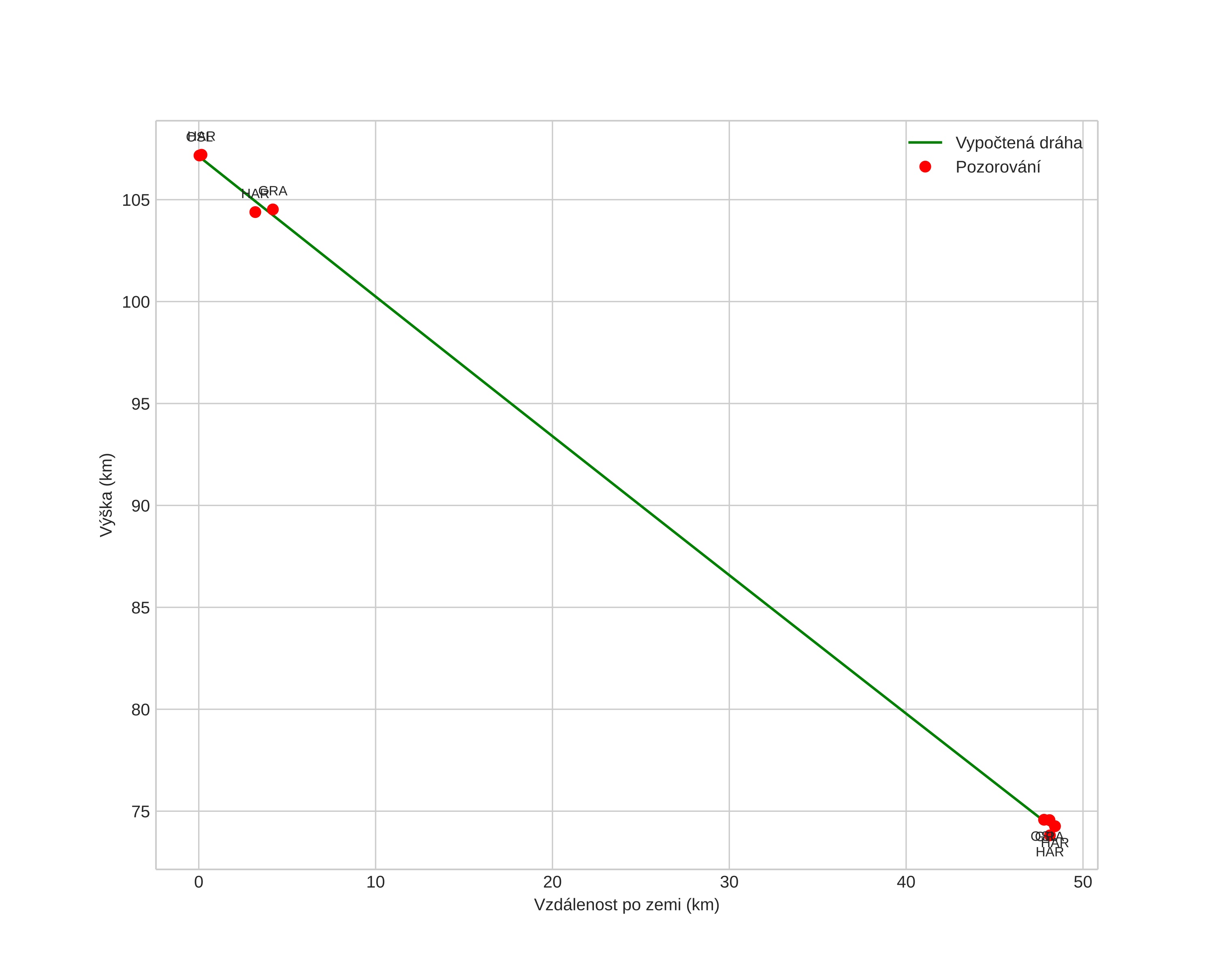
height profile
Atmosférická dráha meteoru:
Počáteční výška: 107,1 km
Konečná výška: 74,1 km
Počáteční poloha: 59,176N 9,405E
Konečná poloha: 59,610N 9,466E
Směr: 4,0°
Sklon: 34,3°
VstupnĂ­ rychlost: 57,2 km/s
Rektascenze radiantu: 16:21 (245,4°)
Deklinace radiantu: 3,0°
MeteorickĂ˝ roj: sporadickĂ˝
Elementy dráhy meteoroidu:
Vzdálenost v periheliu: 0,350 AU
Excentricita: 0,962
Sklon dráhy: 111,9°
Délka vzestupného uzlu: 13,3°
Argument perihelia: 289,0°
Střední anomálie: 358,6°
Epocha: 2017 APR 03 03:12:57
orbit plot

NeinteraktivnĂ­ graf | InteraktivnĂ­ graf

position vs time
speed and acceleration