🇳🇴 🇬🇧 🇩🇪 🇨🇿 🇫🇮

Meteor, poloha: Seljord 2017-04-05 03:29:32 UTC

Soubor KML  |  InteraktivnĂ­ mapa

Mapa zobrazuje dráhy meteoru. Světlejší čáry ukazují směry od pozorovacích stanic při objevení se meteoru a tmavší čáry, kde byl naposledy viděn. Modrá šipka značí viditelnou dráhu meteoru.

static map
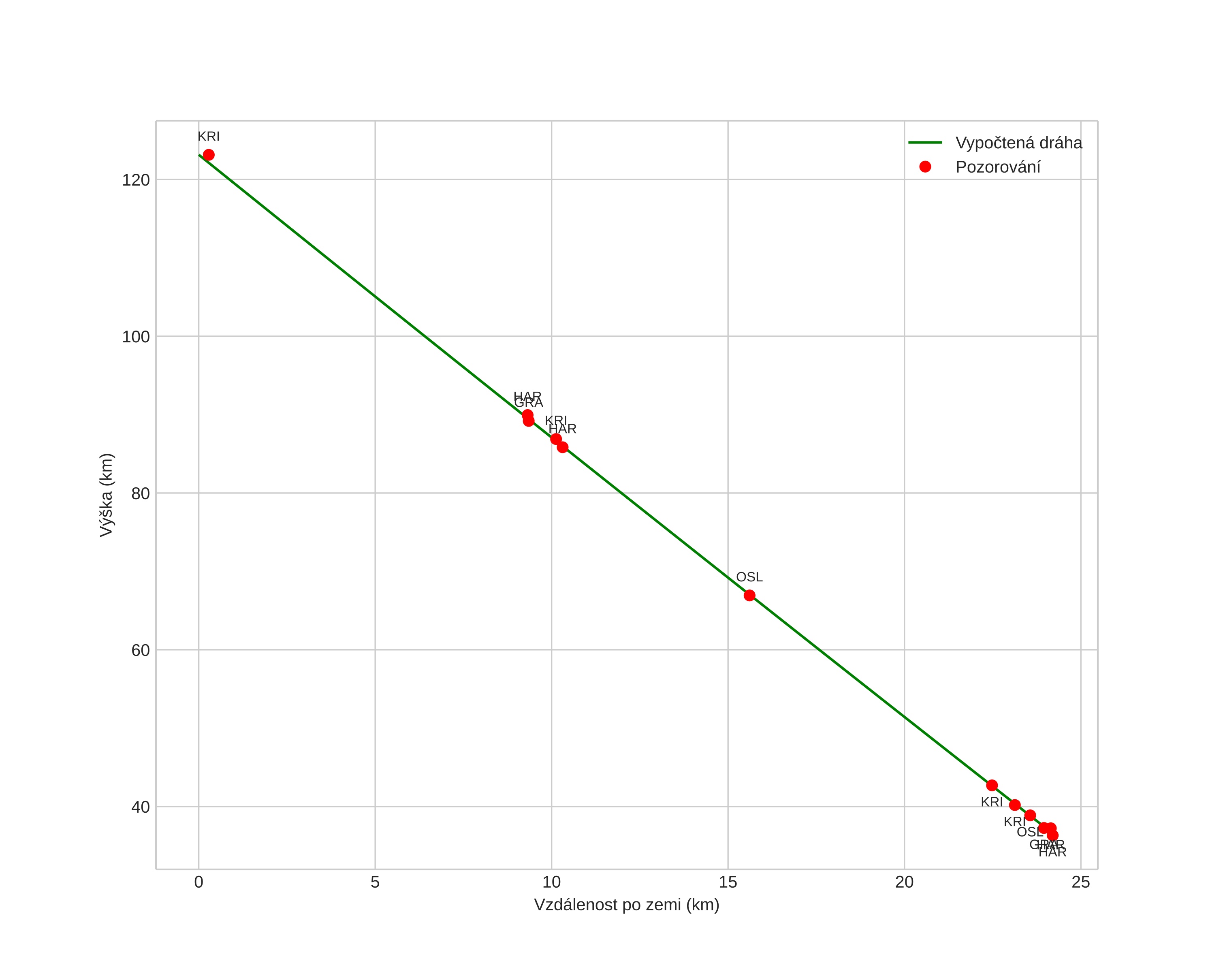
height profile
Atmosférická dráha meteoru:
Počáteční výška: 123,2 km
Konečná výška: 36,3 km
Počáteční poloha: 59,562N 8,993E
Konečná poloha: 59,366N 8,805E
Směr: 206,1°
Sklon: 74,4°
VstupnĂ­ rychlost: 22,7 km/s
Rektascenze radiantu: 18:33 (278,4°)
Deklinace radiantu: 73,1°
MeteorickĂ˝ roj: sporadickĂ˝
Elementy dráhy meteoroidu:
Vzdálenost v periheliu: 0,997 AU
Excentricita: 0,579
Sklon dráhy: 31,7°
Délka vzestupného uzlu: 15,3°
Argument perihelia: 172,0°
Střední anomálie: 1,7°
Epocha: 2017 APR 05 03:29:32
orbit plot

NeinteraktivnĂ­ graf | InteraktivnĂ­ graf

position vs time
speed and acceleration

Gran (GRA) cam1


gnomonic
Videa
• Gnomonická
• Původní
• Původní se souřadnicemi
Obrázky
• Gnomonická
• Gnomonická se souřadnicemi
• Gnomonická s popisky
• Původní
• Původní se souřadnicemi
• Původní s maskou
Textové soubory
• Detekce
• Pozorování
• Souřadnice
• Chybová hlášení
• Protokol
Jasnost