🇳🇴 🇬🇧 🇩🇪 🇨🇿 🇫🇮

Meteor, poloha: Sauland 2017-04-18 21:02:02 UTC

Soubor KML  |  InteraktivnĂ­ mapa

Mapa zobrazuje dráhy meteoru. Světlejší čáry ukazují směry od pozorovacích stanic při objevení se meteoru a tmavší čáry, kde byl naposledy viděn. Modrá šipka značí viditelnou dráhu meteoru.

static map
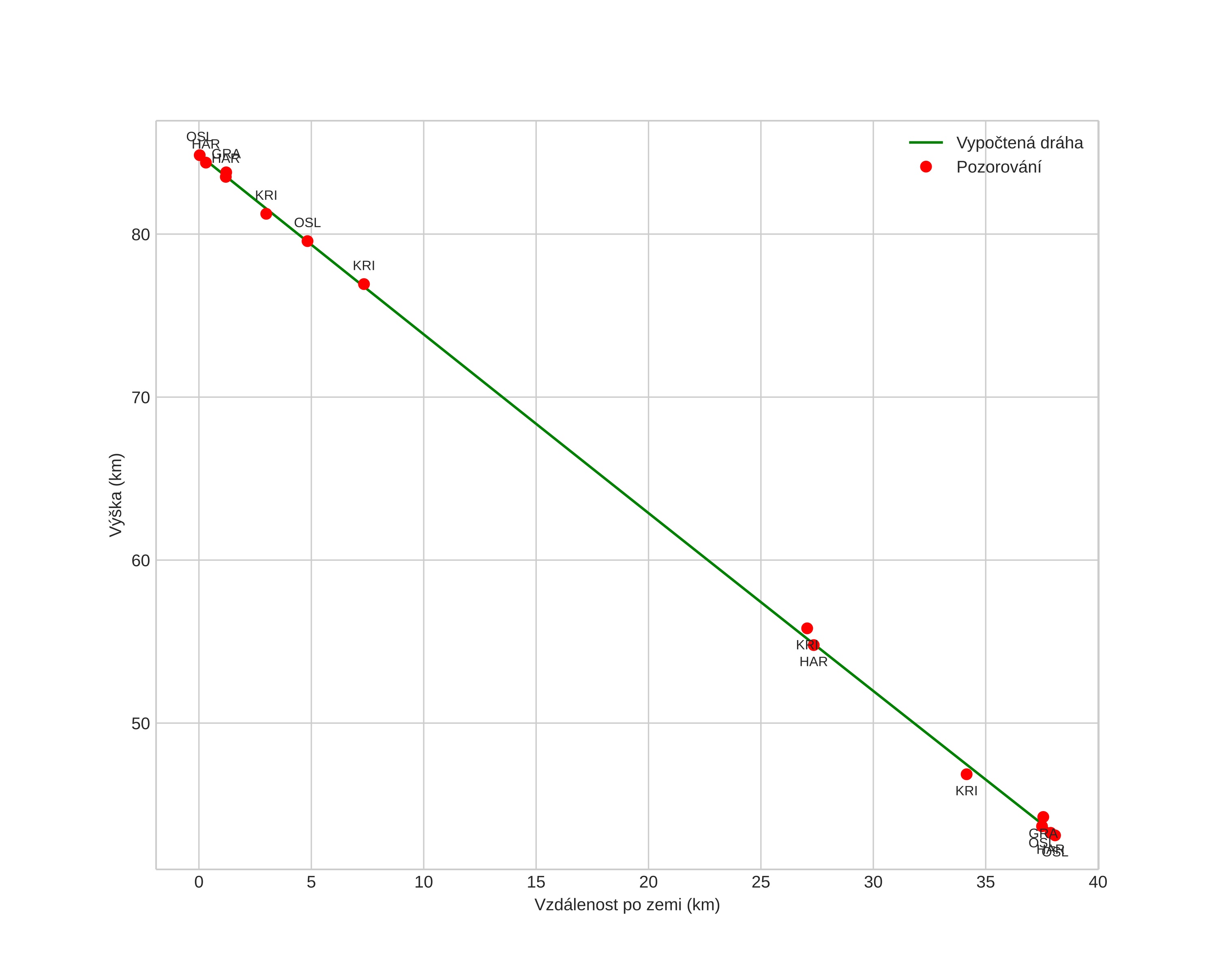
height profile
Atmosférická dráha meteoru:
Počáteční výška: 84,9 km
Konečná výška: 43,1 km
Počáteční poloha: 59,339N 9,194E
Konečná poloha: 59,612N 8,786E
Směr: 323,0°
Sklon: 47,6°
VstupnĂ­ rychlost: 19,9 km/s
Rektascenze radiantu: 13:12 (198,0°)
Deklinace radiantu: 17,3°
MeteorickĂ˝ roj: sporadickĂ˝
Elementy dráhy meteoroidu:
Vzdálenost v periheliu: 0,839 AU
Excentricita: 0,679
Sklon dráhy: 10,5°
Délka vzestupného uzlu: 28,8°
Argument perihelia: 233,7°
Střední anomálie: 351,5°
Epocha: 2017 APR 18 21:02:02
orbit plot

NeinteraktivnĂ­ graf | InteraktivnĂ­ graf

position vs time
speed and acceleration