🇳🇴 🇬🇧 🇩🇪 🇨🇿 🇫🇮

Meteor, poloha: Thyborøn 2017-04-22 23:42:32 UTC

Soubor KML  |  InteraktivnĂ­ mapa

Mapa zobrazuje dráhy meteoru. Světlejší čáry ukazují směry od pozorovacích stanic při objevení se meteoru a tmavší čáry, kde byl naposledy viděn. Modrá šipka značí viditelnou dráhu meteoru.

static map
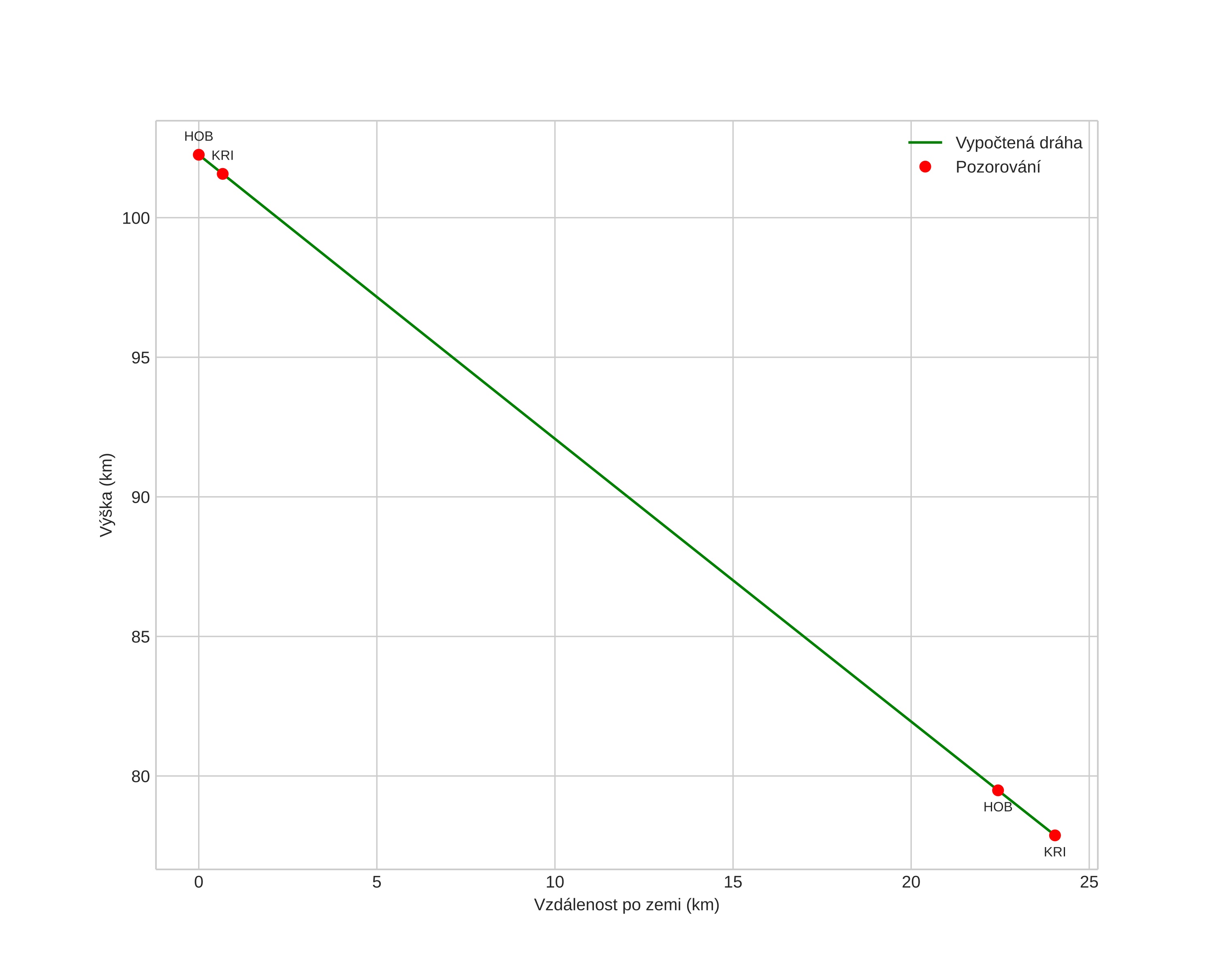
height profile
Atmosférická dráha meteoru:
Počáteční výška: 102,3 km
Konečná výška: 77,9 km
Počáteční poloha: 56,961N 8,466E
Konečná poloha: 56,978N 8,070E
Směr: 274,5°
Sklon: 45,4°
VstupnĂ­ rychlost: 45,8 km/s
Rektascenze radiantu: 18:13 (273,5°)
Deklinace radiantu: 34,1°
MeteorickĂ˝ roj: Lyridy
Elementy dráhy meteoroidu:
Vzdálenost v periheliu: 0,926 AU
Excentricita: 0,797
Sklon dráhy: 77,1°
Délka vzestupného uzlu: 32,8°
Argument perihelia: 214,7°
Střední anomálie: 357,5°
Epocha: 2017 APR 22 23:42:32
orbit plot

NeinteraktivnĂ­ graf | InteraktivnĂ­ graf

position vs time
speed and acceleration