🇳🇴 🇬🇧 🇩🇪 🇨🇿 🇫🇮

Meteor, poloha: Hovden 2017-04-29 20:57:01 UTC

Soubor KML  |  InteraktivnĂ­ mapa

Mapa zobrazuje dráhy meteoru. Světlejší čáry ukazují směry od pozorovacích stanic při objevení se meteoru a tmavší čáry, kde byl naposledy viděn. Modrá šipka značí viditelnou dráhu meteoru.

static map
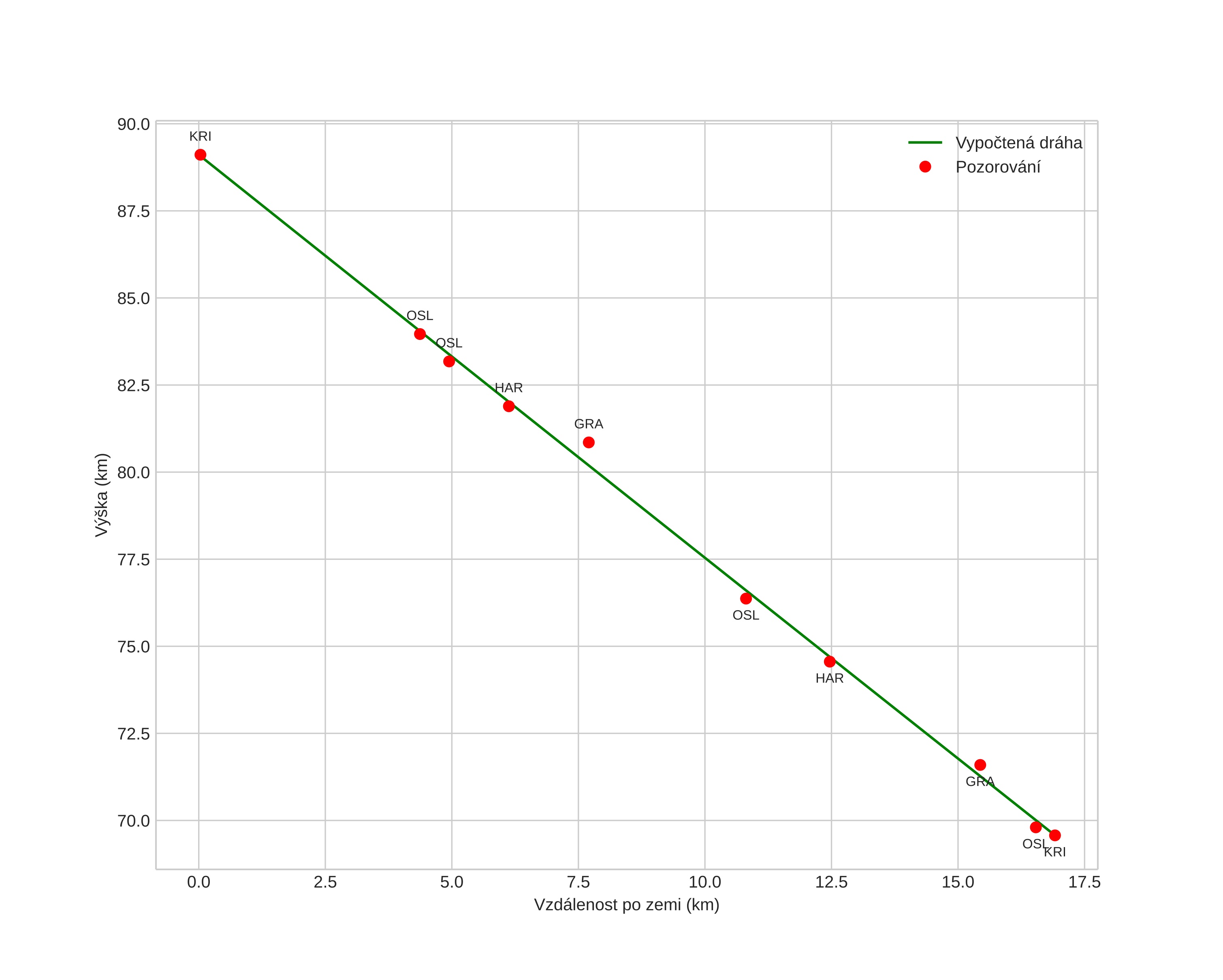
height profile
Atmosférická dráha meteoru:
Počáteční výška: 89,1 km
Konečná výška: 69,6 km
Počáteční poloha: 59,209N 7,320E
Konečná poloha: 59,355N 7,233E
Směr: 343,1°
Sklon: 49,1°
VstupnĂ­ rychlost: 17,3 km/s
Rektascenze radiantu: 12:43 (190,9°)
Deklinace radiantu: 13,6°
MeteorickĂ˝ roj: sporadickĂ˝
Elementy dráhy meteoroidu:
Vzdálenost v periheliu: 0,925 AU
Excentricita: 0,692
Sklon dráhy: 5,9°
Délka vzestupného uzlu: 39,5°
Argument perihelia: 216,8°
Střední anomálie: 354,9°
Epocha: 2017 APR 29 20:57:01
orbit plot

NeinteraktivnĂ­ graf | InteraktivnĂ­ graf

position vs time
speed and acceleration