🇳🇴 🇬🇧 🇩🇪 🇨🇿 🇫🇮

Meteor, poloha: Årjäng 2017-05-24 23:12:32 UTC

Soubor KML  |  InteraktivnĂ­ mapa

Mapa zobrazuje dráhy meteoru. Světlejší čáry ukazují směry od pozorovacích stanic při objevení se meteoru a tmavší čáry, kde byl naposledy viděn. Modrá šipka značí viditelnou dráhu meteoru.

static map
height profile
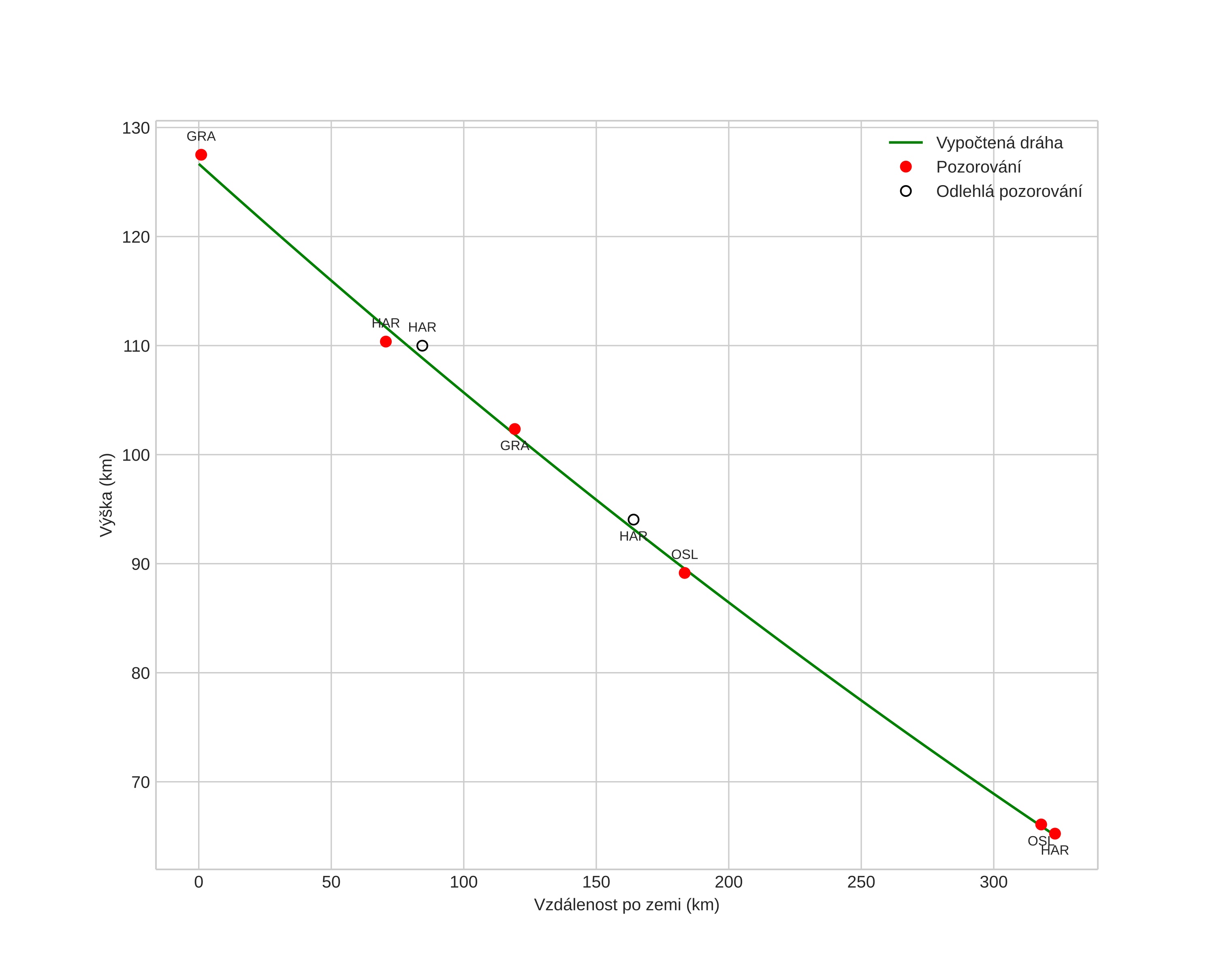
Atmosférická dráha meteoru:
Počáteční výška: 126,7 km
Konečná výška: 65,1 km
Počáteční poloha: 62,273N 12,038E
Konečná poloha: 59,368N 12,012E
Směr: 180,3°
Sklon: 10,8°
VstupnĂ­ rychlost: 19,5 km/s
Rektascenze radiantu: 04:12 (63,0°)
Deklinace radiantu: 29,3°
MeteorickĂ˝ roj: sporadickĂ˝
Elementy dráhy meteoroidu:
Vzdálenost v periheliu: 0,678 AU
Excentricita: 0,563
Sklon dráhy: 4,3°
Délka vzestupného uzlu: 63,8°
Argument perihelia: 94,6°
Střední anomálie: 26,6°
Epocha: 2017 MAY 24 23:12:32
orbit plot

NeinteraktivnĂ­ graf | InteraktivnĂ­ graf

position vs time
speed and acceleration