🇳🇴 🇬🇧 🇩🇪 🇨🇿 🇫🇮

Meteor, poloha: Rjukan 2017-05-26 01:09:05 UTC

Soubor KML  |  InteraktivnĂ­ mapa

Mapa zobrazuje dráhy meteoru. Světlejší čáry ukazují směry od pozorovacích stanic při objevení se meteoru a tmavší čáry, kde byl naposledy viděn. Modrá šipka značí viditelnou dráhu meteoru.

static map
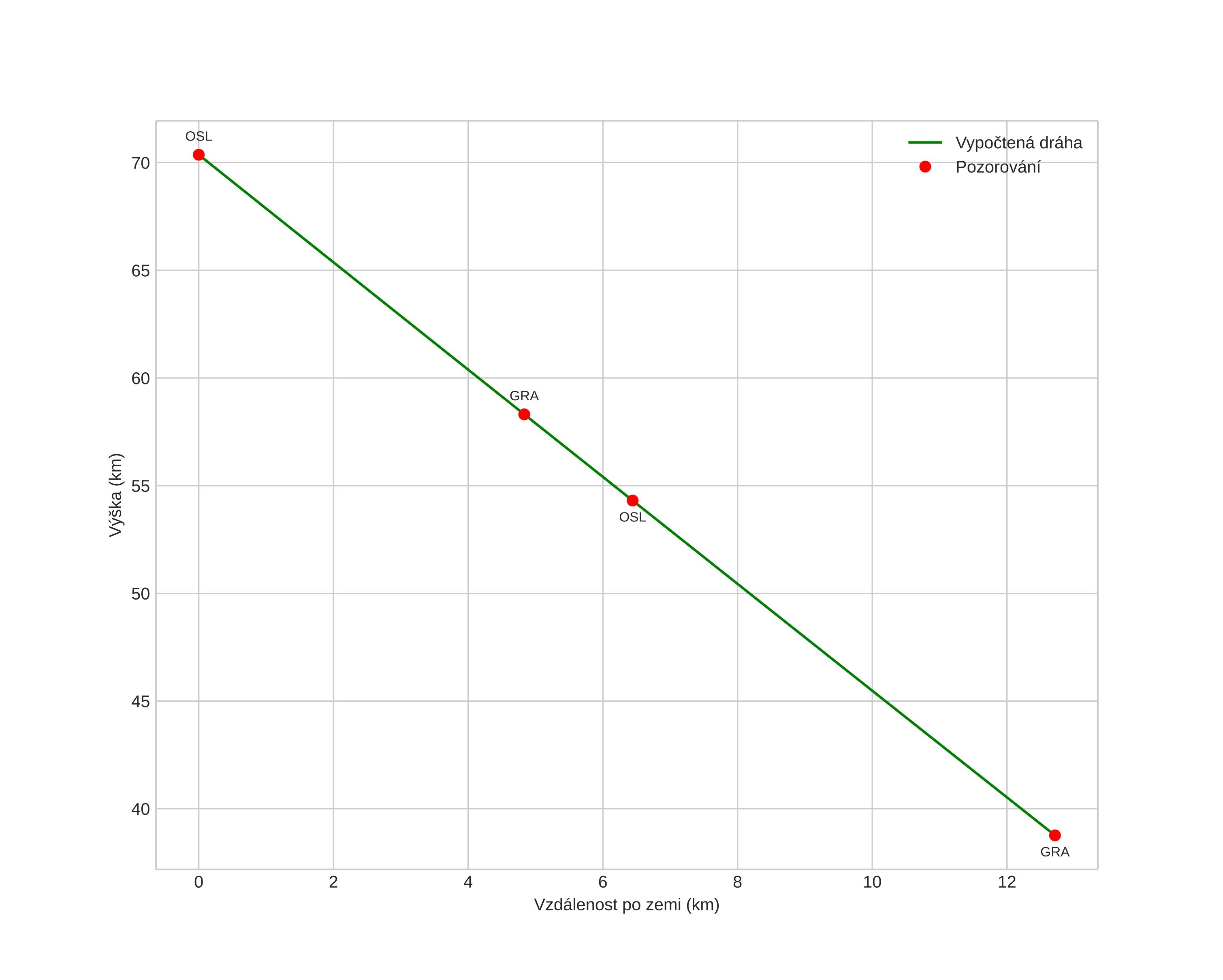
height profile
Atmosférická dráha meteoru:
Počáteční výška: 70,4 km
Konečná výška: 38,8 km
Počáteční poloha: 60,272N 8,536E
Konečná poloha: 60,157N 8,528E
Směr: 181,9°
Sklon: 68,1°
VstupnĂ­ rychlost: 19,5 km/s
Rektascenze radiantu: 18:01 (270,4°)
Deklinace radiantu: 84,2°
MeteorickĂ˝ roj: sporadickĂ˝
Elementy dráhy meteoroidu:
Vzdálenost v periheliu: 0,983 AU
Excentricita: 0,438
Sklon dráhy: 25,8°
Délka vzestupného uzlu: 64,8°
Argument perihelia: 154,7°
Střední anomálie: 9,1°
Epocha: 2017 MAY 26 01:09:05
orbit plot

NeinteraktivnĂ­ graf | InteraktivnĂ­ graf

position vs time
speed and acceleration