🇳🇴 🇬🇧 🇩🇪 🇨🇿 🇫🇮

Meteor, poloha: Sarpsborg 2017-05-26 23:03:30 UTC

Soubor KML  |  InteraktivnĂ­ mapa

Mapa zobrazuje dráhy meteoru. Světlejší čáry ukazují směry od pozorovacích stanic při objevení se meteoru a tmavší čáry, kde byl naposledy viděn. Modrá šipka značí viditelnou dráhu meteoru.

static map
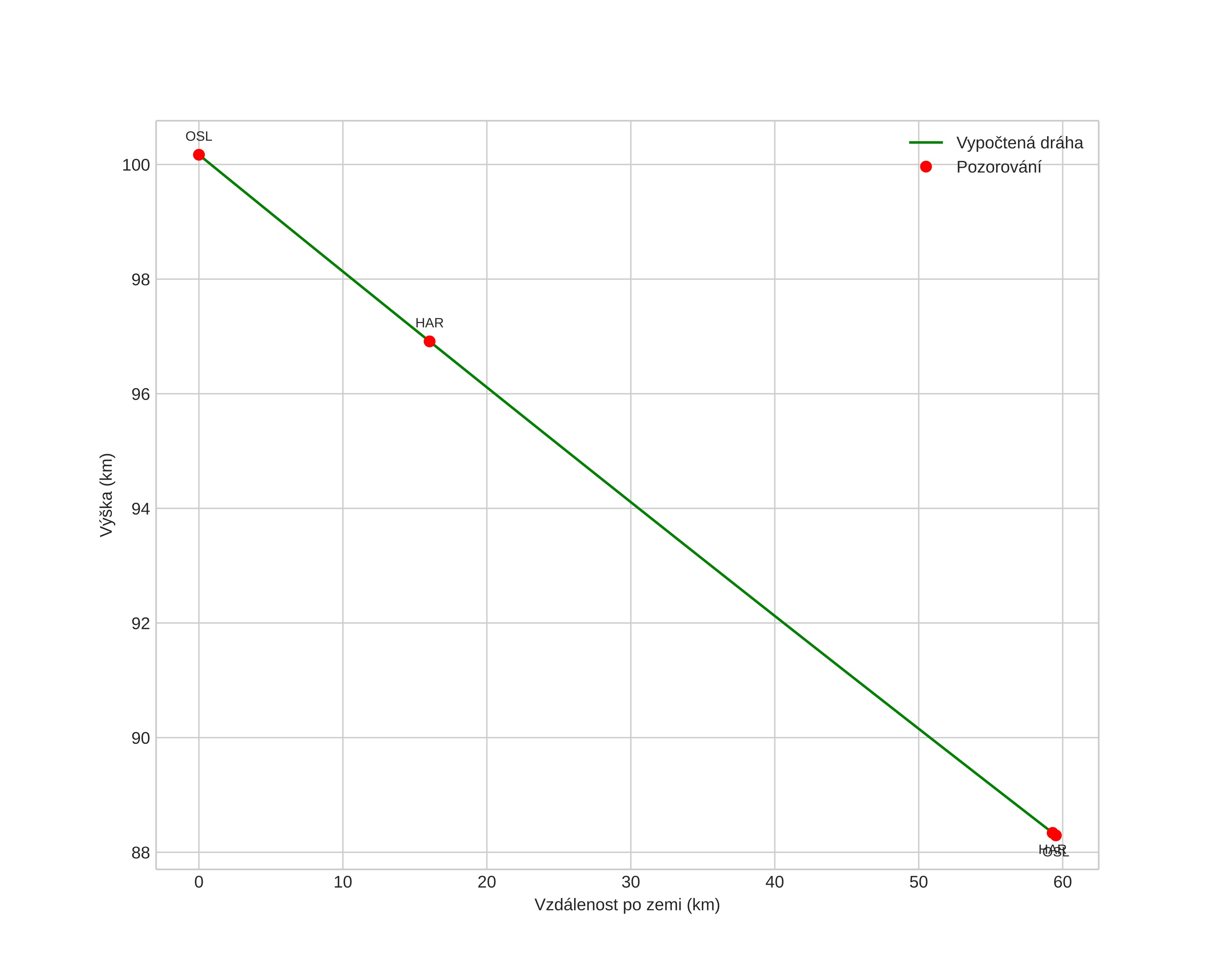
height profile
Atmosférická dráha meteoru:
Počáteční výška: 100,2 km
Konečná výška: 88,3 km
Počáteční poloha: 58,689N 11,341E
Konečná poloha: 59,203N 11,048E
Směr: 343,7°
Sklon: 11,3°
VstupnĂ­ rychlost: 42,7 km/s
Rektascenze radiantu: 17:13 (258,4°)
Deklinace radiantu: -20,4°
MeteorickĂ˝ roj: sporadickĂ˝
Elementy dráhy meteoroidu:
Vzdálenost v periheliu: 0,223 AU
Excentricita: 1,056
Sklon dráhy: 5,4°
Délka vzestupného uzlu: 65,7°
Argument perihelia: 301,2°
Střední anomálie: -4,2°
Epocha: 2017 MAY 26 23:03:30
orbit plot

NeinteraktivnĂ­ graf | InteraktivnĂ­ graf

position vs time
speed and acceleration