🇳🇴 🇬🇧 🇩🇪 🇨🇿 🇫🇮

Meteor, poloha: Farsund 2017-05-26 23:14:16 UTC

Kristiansand – 1
Kristiansand – 1
Voksenlia – 1
Voksenlia – 1

Soubor KML  | Interaktivní mapa

map

Mapa zobrazuje dráhy meteoru. Světlejší čáry ukazují směry od pozorovacích stanic při objevení se meteoru a tmavší čáry, kde byl naposledy viděn. Modrá šipka značí viditelnou dráhu meteoru.

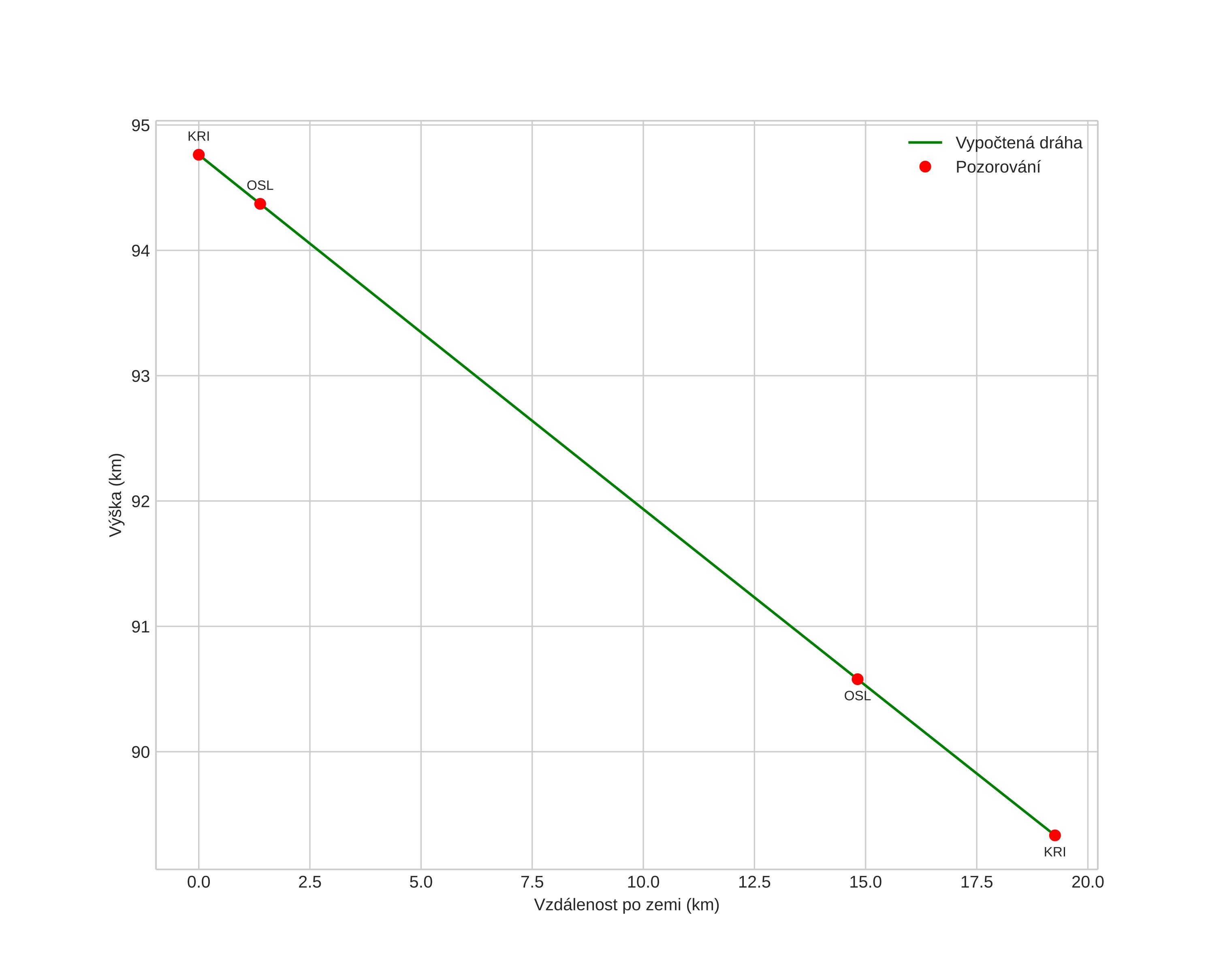
height profile
Atmosférická dráha meteoru:
Počáteční výška: 94,8 km
Konečná výška: 89,3 km
Počáteční poloha: 57,550N 6,869E
Konečná poloha: 57,722N 6,841E
Směr: 355,1°
Sklon: 15,9°
Vstupní rychlost: 25,8 km/s
Rektascenze radiantu: 16:17 (244,3°)
Deklinace radiantu: -20,8°
Meteorický roj: sporadický
Elementy dráhy meteoroidu:
Vzdálenost v periheliu: 0,559 AU
Excentricita: 0,767
Sklon dráhy: 0,4°
Délka vzestupného uzlu: 66,0°
Argument perihelia: 271,5°
Střední anomálie: 347,8°
Epocha: 2017 MAY 26 23:14:16
orbit

Neinteraktivní graf | Interaktivní graf

position vs time
speed & acceleration