🇳🇴 🇬🇧 🇩🇪 🇨🇿 🇫🇮

Meteor, poloha: Dokka 2017-05-27 00:48:43 UTC

Soubor KML  |  InteraktivnĂ­ mapa

Mapa zobrazuje dráhy meteoru. Světlejší čáry ukazují směry od pozorovacích stanic při objevení se meteoru a tmavší čáry, kde byl naposledy viděn. Modrá šipka značí viditelnou dráhu meteoru.

static map
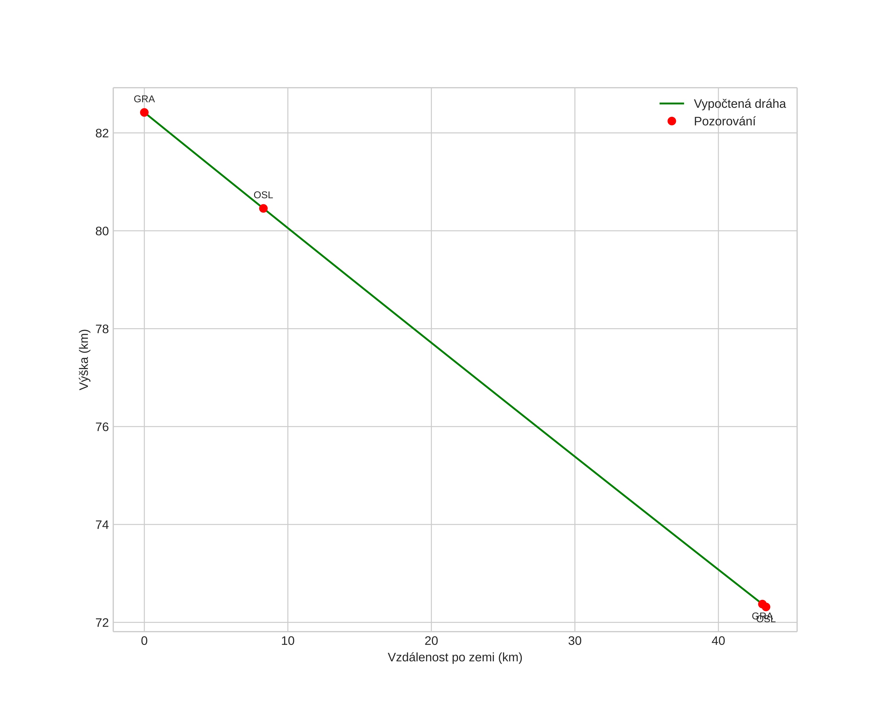
height profile
Atmosférická dráha meteoru:
Počáteční výška: 82,4 km
Konečná výška: 72,3 km
Počáteční poloha: 60,181N 9,480E
Konečná poloha: 60,520N 9,870E
Směr: 29,5°
Sklon: 13,1°
VstupnĂ­ rychlost: 21,0 km/s
Rektascenze radiantu: 15:36 (234,1°)
Deklinace radiantu: -19,9°
MeteorickĂ˝ roj: sporadickĂ˝
Elementy dráhy meteoroidu:
Vzdálenost v periheliu: 0,722 AU
Excentricita: 0,669
Sklon dráhy: 0,3°
Délka vzestupného uzlu: 245,3°
Argument perihelia: 74,0°
Střední anomálie: 346,2°
Epocha: 2017 MAY 27 00:48:43
orbit plot

NeinteraktivnĂ­ graf | InteraktivnĂ­ graf

position vs time
speed and acceleration

Gran (GRA) cam2


gnomonic
Videa
• Gnomonická
• Původní
• Původní se souřadnicemi
Obrázky
• Gnomonická
• Gnomonická se souřadnicemi
• Gnomonická s popisky
• Původní
• Původní se souřadnicemi
• Původní s maskou
Textové soubory
• Detekce
• Pozorování
• Souřadnice
• Chybová hlášení
• Protokol
Jasnost