🇳🇴 🇬🇧 🇩🇪 🇨🇿 🇫🇮

Meteor, poloha: Lillesand 2017-05-28 23:33:19 UTC

Soubor KML  |  InteraktivnĂ­ mapa

Mapa zobrazuje dráhy meteoru. Světlejší čáry ukazují směry od pozorovacích stanic při objevení se meteoru a tmavší čáry, kde byl naposledy viděn. Modrá šipka značí viditelnou dráhu meteoru.

static map
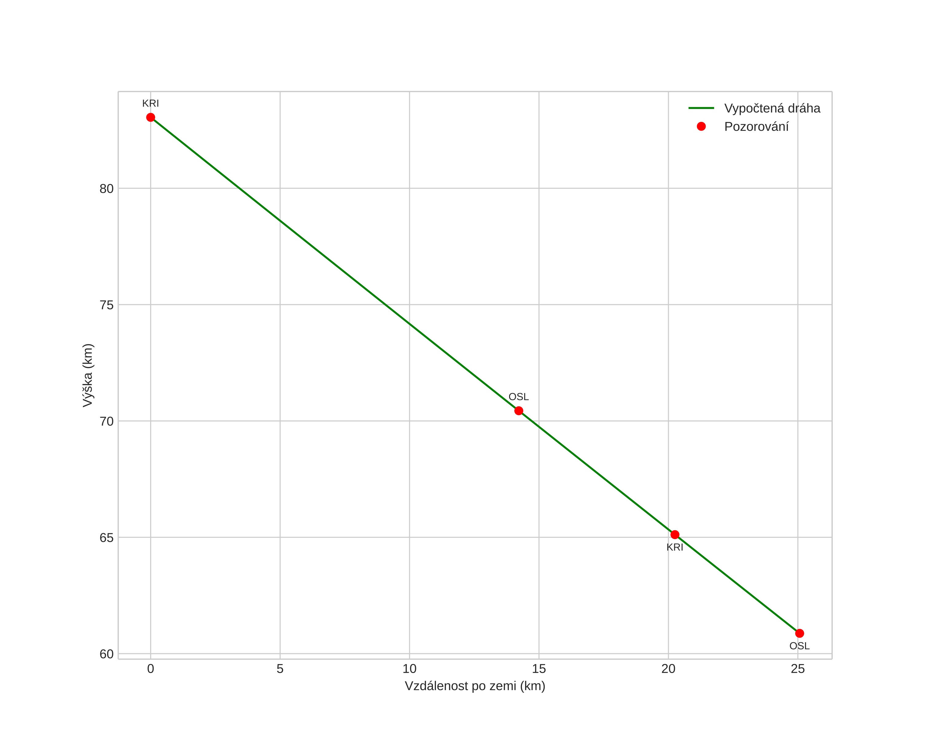
height profile
Atmosférická dráha meteoru:
Počáteční výška: 83,0 km
Konečná výška: 60,9 km
Počáteční poloha: 58,100N 8,137E
Konečná poloha: 58,287N 8,374E
Směr: 33,6°
Sklon: 41,4°
VstupnĂ­ rychlost: 18,2 km/s
Rektascenze radiantu: 14:40 (220,1°)
Deklinace radiantu: 7,6°
MeteorickĂ˝ roj: sporadickĂ˝
Elementy dráhy meteoroidu:
Vzdálenost v periheliu: 0,915 AU
Excentricita: 0,737
Sklon dráhy: 8,5°
Délka vzestupného uzlu: 67,6°
Argument perihelia: 219,6°
Střední anomálie: 355,6°
Epocha: 2017 MAY 28 23:33:19
orbit plot

NeinteraktivnĂ­ graf | InteraktivnĂ­ graf

position vs time
speed and acceleration