🇳🇴 🇬🇧 🇩🇪 🇨🇿 🇫🇮

Meteor, poloha: Kyrkjebygda 2017-06-19 23:09:24 UTC

Soubor KML  |  InteraktivnĂ­ mapa

Mapa zobrazuje dráhy meteoru. Světlejší čáry ukazují směry od pozorovacích stanic při objevení se meteoru a tmavší čáry, kde byl naposledy viděn. Modrá šipka značí viditelnou dráhu meteoru.

static map
height profile
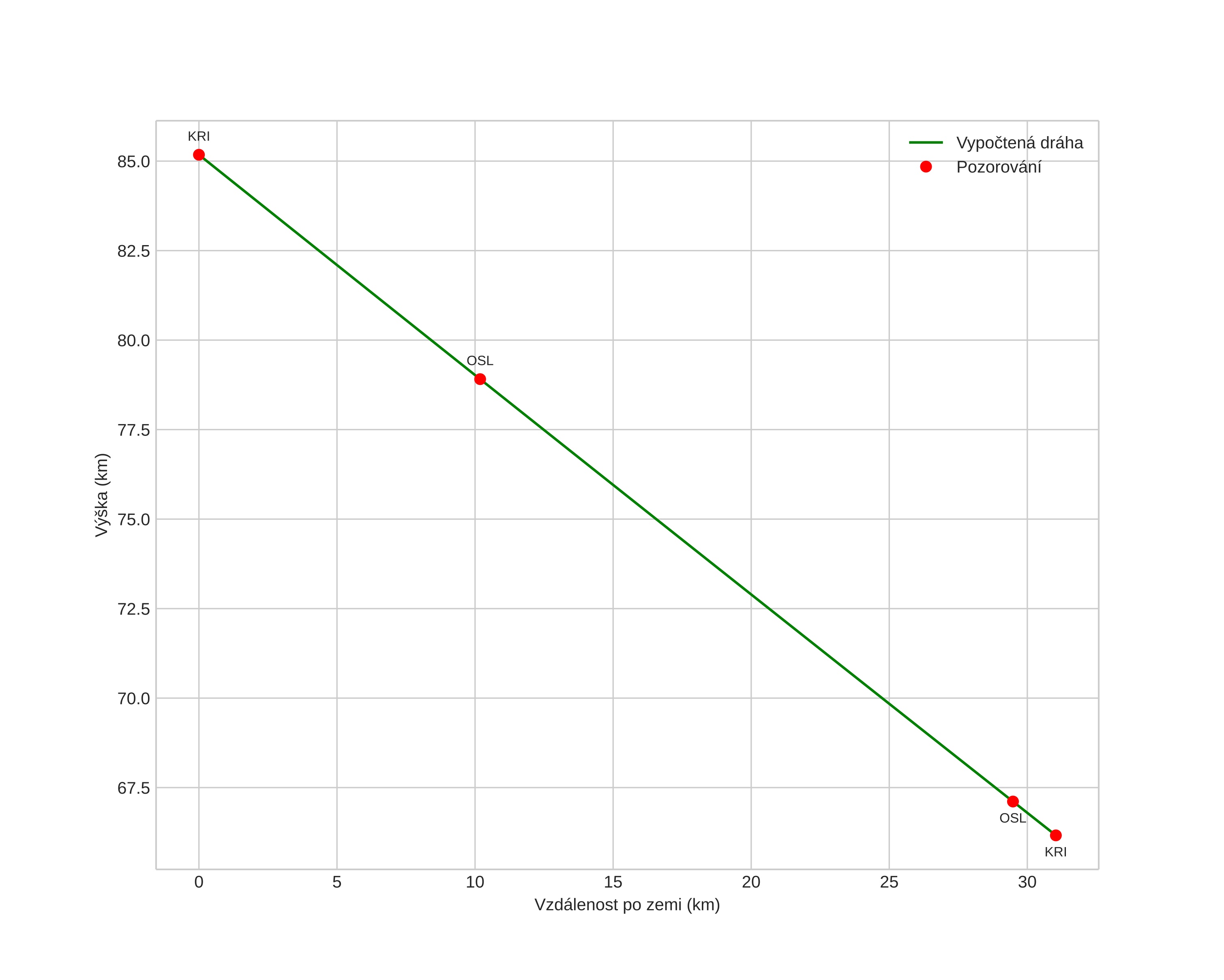
Atmosférická dráha meteoru:
Počáteční výška: 85,2 km
Konečná výška: 66,2 km
Počáteční poloha: 58,306N 7,597E
Konečná poloha: 58,582N 7,518E
Směr: 351,5°
Sklon: 31,5°
VstupnĂ­ rychlost: 25,3 km/s
Rektascenze radiantu: 17:59 (269,9°)
Deklinace radiantu: -3,4°
MeteorickĂ˝ roj: sporadickĂ˝
Elementy dráhy meteoroidu:
Vzdálenost v periheliu: 0,602 AU
Excentricita: 0,725
Sklon dráhy: 15,1°
Délka vzestupného uzlu: 88,6°
Argument perihelia: 268,3°
Střední anomálie: 345,6°
Epocha: 2017 JUN 19 23:09:24
orbit plot

NeinteraktivnĂ­ graf | InteraktivnĂ­ graf

position vs time
speed and acceleration