🇳🇴 🇬🇧 🇩🇪 🇨🇿 🇫🇮

Meteor, poloha: Bollebygd 2017-07-05 00:14:47 UTC

Soubor KML  |  InteraktivnĂ­ mapa

Mapa zobrazuje dráhy meteoru. Světlejší čáry ukazují směry od pozorovacích stanic při objevení se meteoru a tmavší čáry, kde byl naposledy viděn. Modrá šipka značí viditelnou dráhu meteoru.

static map
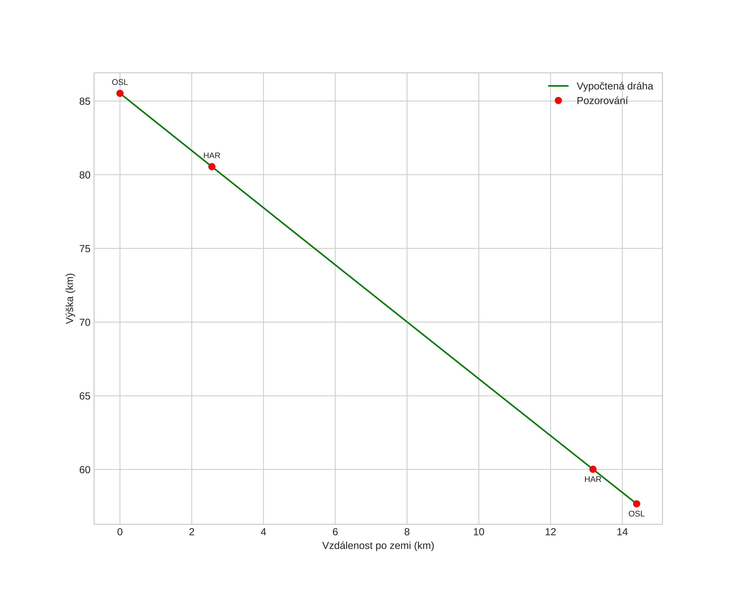
height profile
Atmosférická dráha meteoru:
Počáteční výška: 85,5 km
Konečná výška: 57,7 km
Počáteční poloha: 57,531N 12,382E
Konečná poloha: 57,580N 12,605E
Směr: 67,8°
Sklon: 62,6°
VstupnĂ­ rychlost: 23,6 km/s
Rektascenze radiantu: 17:30 (262,7°)
Deklinace radiantu: 39,3°
MeteorickĂ˝ roj: sporadickĂ˝
Elementy dráhy meteoroidu:
Vzdálenost v periheliu: 0,958 AU
Excentricita: 0,776
Sklon dráhy: 29,0°
Délka vzestupného uzlu: 103,0°
Argument perihelia: 209,7°
Střední anomálie: 357,5°
Epocha: 2017 JUL 05 00:14:47
orbit plot

NeinteraktivnĂ­ graf | InteraktivnĂ­ graf

position vs time
speed and acceleration