🇳🇴 🇬🇧 🇩🇪 🇨🇿 🇫🇮

Meteor, poloha: Lyngdal 2017-07-08 23:46:37 UTC

Soubor KML  |  InteraktivnĂ­ mapa

Mapa zobrazuje dráhy meteoru. Světlejší čáry ukazují směry od pozorovacích stanic při objevení se meteoru a tmavší čáry, kde byl naposledy viděn. Modrá šipka značí viditelnou dráhu meteoru.

static map
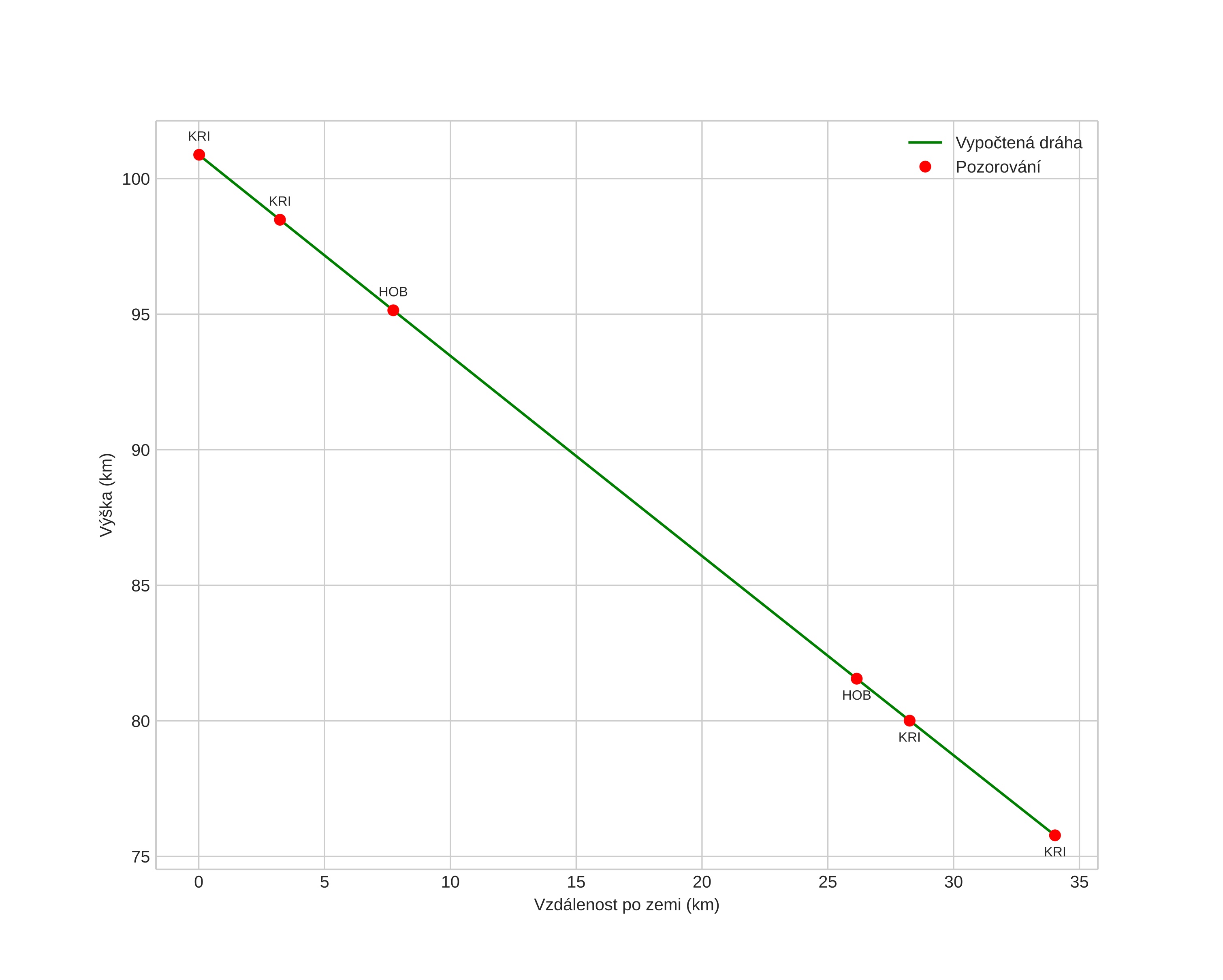
height profile
Atmosférická dráha meteoru:
Počáteční výška: 100,9 km
Konečná výška: 75,8 km
Počáteční poloha: 57,964N 7,505E
Konečná poloha: 57,786N 7,037E
Směr: 234,6°
Sklon: 36,4°
VstupnĂ­ rychlost: 64,0 km/s
Rektascenze radiantu: 01:53 (28,3°)
Deklinace radiantu: 48,4°
MeteorickĂ˝ roj: sporadickĂ˝
Elementy dráhy meteoroidu:
Vzdálenost v periheliu: 0,760 AU
Excentricita: 1,327
Sklon dráhy: 115,2°
Délka vzestupného uzlu: 106,7°
Argument perihelia: 123,9°
Střední anomálie: 8,5°
Epocha: 2017 JUL 08 23:46:37
orbit plot

NeinteraktivnĂ­ graf | InteraktivnĂ­ graf

position vs time
speed and acceleration