🇳🇴 🇬🇧 🇩🇪 🇨🇿 🇫🇮

Meteor, poloha: Tretten 2017-08-01 01:15:50 UTC

Soubor KML  |  InteraktivnĂ­ mapa

Mapa zobrazuje dráhy meteoru. Světlejší čáry ukazují směry od pozorovacích stanic při objevení se meteoru a tmavší čáry, kde byl naposledy viděn. Modrá šipka značí viditelnou dráhu meteoru.

static map
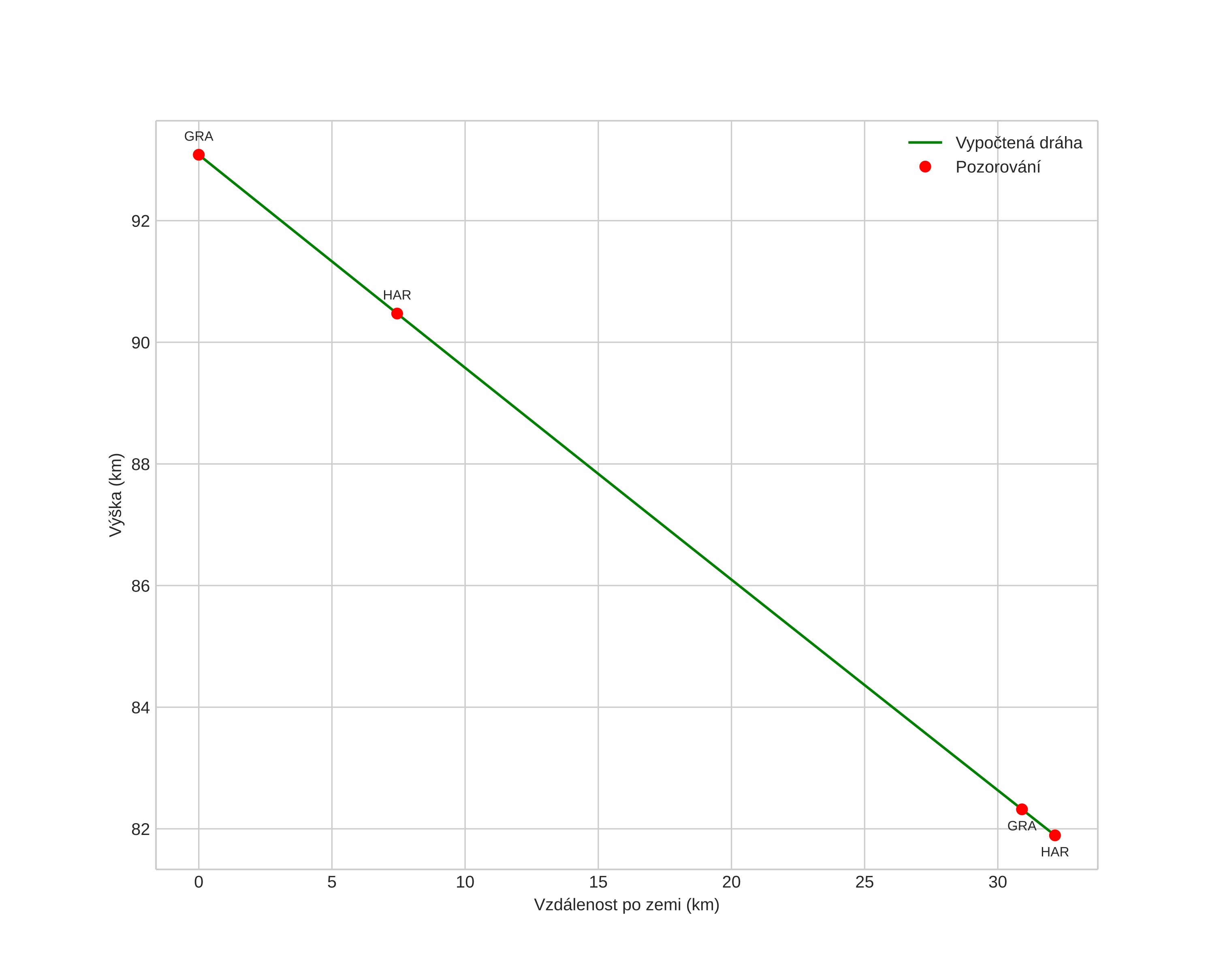
height profile
Atmosférická dráha meteoru:
Počáteční výška: 93,1 km
Konečná výška: 81,9 km
Počáteční poloha: 61,009N 10,047E
Konečná poloha: 61,256N 10,357E
Směr: 31,0°
Sklon: 19,2°
VstupnĂ­ rychlost: 24,9 km/s
Rektascenze radiantu: 20:30 (307,7°)
Deklinace radiantu: -10,4°
MeteorickĂ˝ roj: alpha-capricornidene
Elementy dráhy meteoroidu:
Vzdálenost v periheliu: 0,592 AU
Excentricita: 0,770
Sklon dráhy: 6,2°
Délka vzestupného uzlu: 128,8°
Argument perihelia: 267,6°
Střední anomálie: 349,1°
Epocha: 2017 AUG 01 01:15:50
orbit plot

NeinteraktivnĂ­ graf | InteraktivnĂ­ graf

position vs time
speed and acceleration