🇳🇴 🇬🇧 🇩🇪 🇨🇿 🇫🇮

Meteor, poloha: Løten 2017-08-02 01:08:01 UTC

Soubor KML  |  InteraktivnĂ­ mapa

Mapa zobrazuje dráhy meteoru. Světlejší čáry ukazují směry od pozorovacích stanic při objevení se meteoru a tmavší čáry, kde byl naposledy viděn. Modrá šipka značí viditelnou dráhu meteoru.

static map
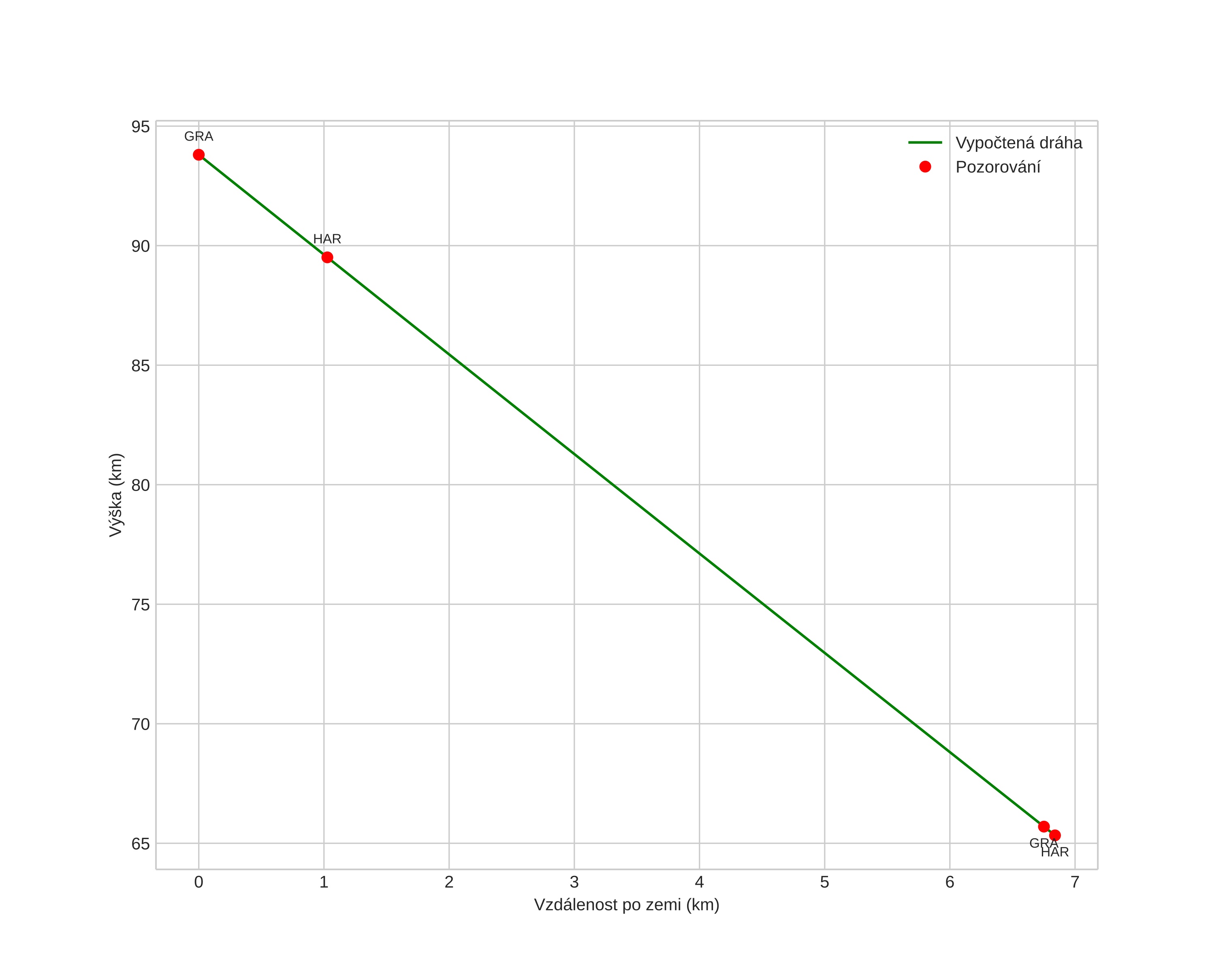
height profile
Atmosférická dráha meteoru:
Počáteční výška: 93,8 km
Konečná výška: 65,3 km
Počáteční poloha: 60,781N 11,322E
Konečná poloha: 60,721N 11,339E
Směr: 172,0°
Sklon: 76,5°
VstupnĂ­ rychlost: 41,9 km/s
Rektascenze radiantu: 22:03 (330,9°)
Deklinace radiantu: 74,0°
MeteorickĂ˝ roj: sporadickĂ˝
Elementy dráhy meteoroidu:
Vzdálenost v periheliu: 1,013 AU
Excentricita: 0,897
Sklon dráhy: 68,1°
Délka vzestupného uzlu: 129,7°
Argument perihelia: 175,2°
Střední anomálie: 0,1°
Epocha: 2017 AUG 02 01:08:01
orbit plot

NeinteraktivnĂ­ graf | InteraktivnĂ­ graf

position vs time
speed and acceleration