🇳🇴 🇬🇧 🇩🇪 🇨🇿 🇫🇮

Meteor Prestestrandan yllä 2017-08-02 23:14:34 UTC

KML-tiedosto  |  Interaktiivinen kartta

Kartta näyttää meteorin suuntahavainnot. Vaaleammat viivat näyttävät suunnat havaintoasemilta meteorin ilmestyessä, ja tummemmat viivat näyttävät, missä se viimeksi nähtiin. Sininen nuoli näyttää meteorin näkyvän lennon.

static map
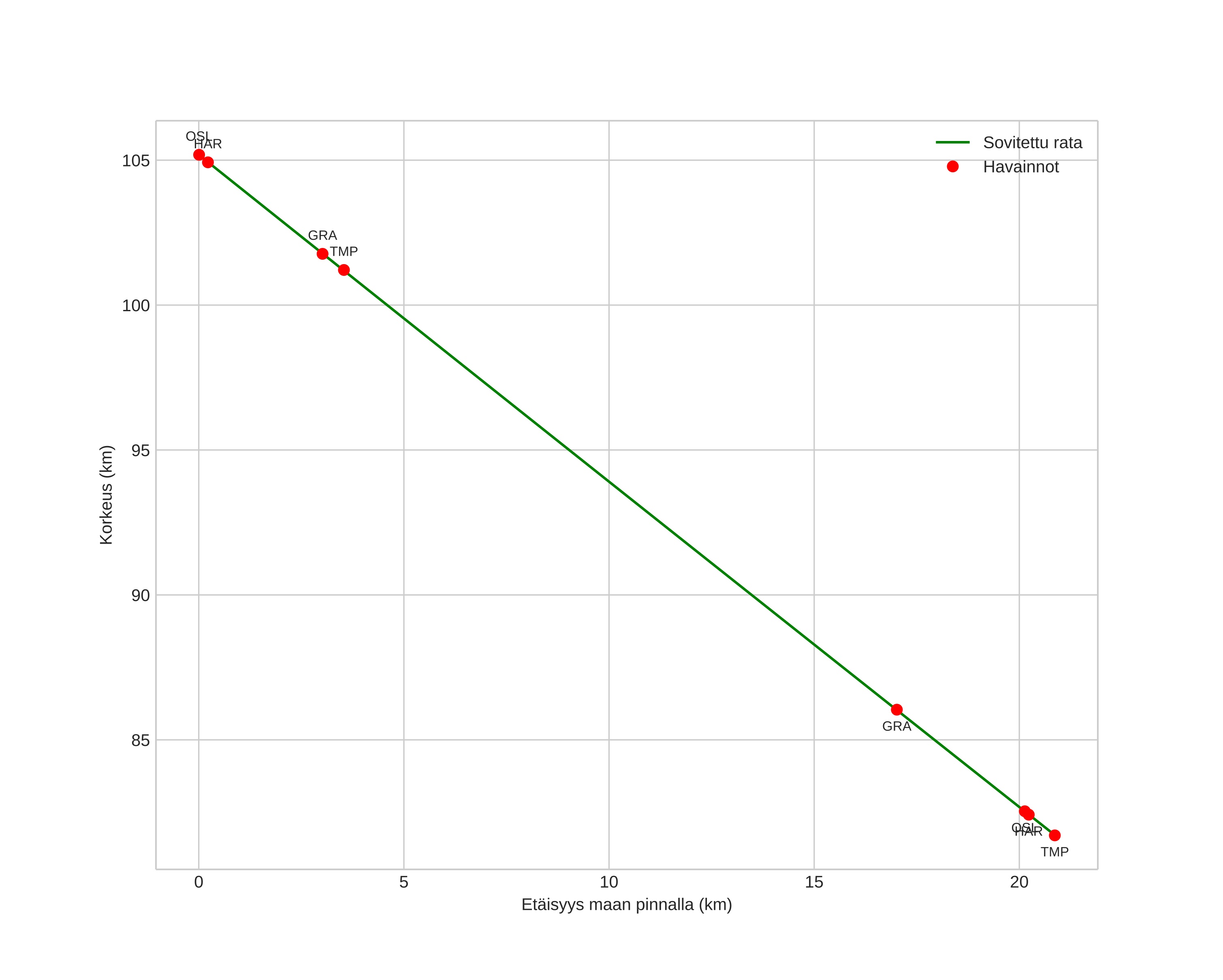
height profile
Meteorin ilmakehärata:
Alkukorkeus: 105,2 km
Loppukorkeus: 81,7 km
Alkupiste: 59,305N 9,229E
Loppupiste: 59,200N 8,925E
Suunta: 236,0°
Kallistuskulma: 48,4°
Tulonopeus: 62,3 km/s
Radiantin R,A,: 02:11 (33,0°)
Radiantin Dekl,: 56,2°
Meteoriparvi: Perseidit
Meteoroidin rataelementit:
Perihelietäisyys: 0,971 AU
Eksentrisyys: 1,167
Inklinaatio: 112,9°
Nousevan solmun pituus: 130,6°
Perihelin argumentti: 156,8°
Keskianomalia: 1,1°
Epookki: 2017 AUG 02 23:14:34
orbit plot

Ei-interaktiivinen kuvaaja | Interaktiivinen kuvaaja

position vs time
speed and acceleration