🇳🇴 🇬🇧 🇩🇪 🇨🇿 🇫🇮

Meteor, poloha: Noresund 2017-08-04 21:06:27 UTC

Soubor KML  |  InteraktivnĂ­ mapa

Mapa zobrazuje dráhy meteoru. Světlejší čáry ukazují směry od pozorovacích stanic při objevení se meteoru a tmavší čáry, kde byl naposledy viděn. Modrá šipka značí viditelnou dráhu meteoru.

static map
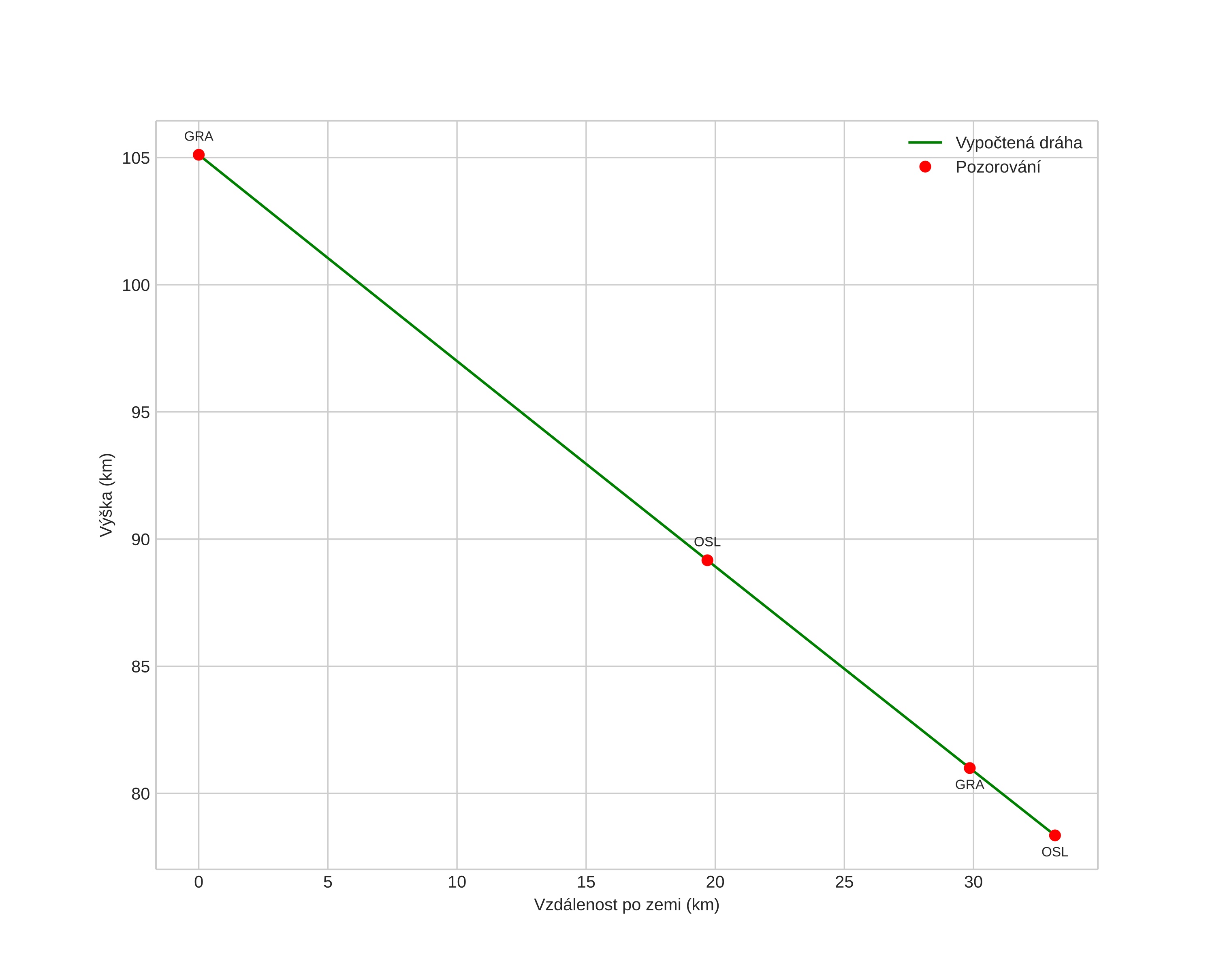
height profile
Atmosférická dráha meteoru:
Počáteční výška: 105,1 km
Konečná výška: 78,3 km
Počáteční poloha: 60,587N 9,999E
Konečná poloha: 60,350N 9,632E
Směr: 217,5°
Sklon: 38,9°
VstupnĂ­ rychlost: 48,6 km/s
Rektascenze radiantu: 02:26 (36,5°)
Deklinace radiantu: 57,8°
MeteorickĂ˝ roj: Perseidy
Elementy dráhy meteoroidu:
Vzdálenost v periheliu: 0,865 AU
Excentricita: 0,307
Sklon dráhy: 100,3°
Délka vzestupného uzlu: 132,4°
Argument perihelia: 111,8°
Střední anomálie: 38,5°
Epocha: 2017 AUG 04 21:06:27
orbit plot

NeinteraktivnĂ­ graf | InteraktivnĂ­ graf

position vs time
speed and acceleration