🇳🇴 🇬🇧 🇩🇪 🇨🇿 🇫🇮

Meteor, poloha: Vigrestad 2017-08-07 00:10:36 UTC

Soubor KML  |  InteraktivnĂ­ mapa

Mapa zobrazuje dráhy meteoru. Světlejší čáry ukazují směry od pozorovacích stanic při objevení se meteoru a tmavší čáry, kde byl naposledy viděn. Modrá šipka značí viditelnou dráhu meteoru.

static map
height profile
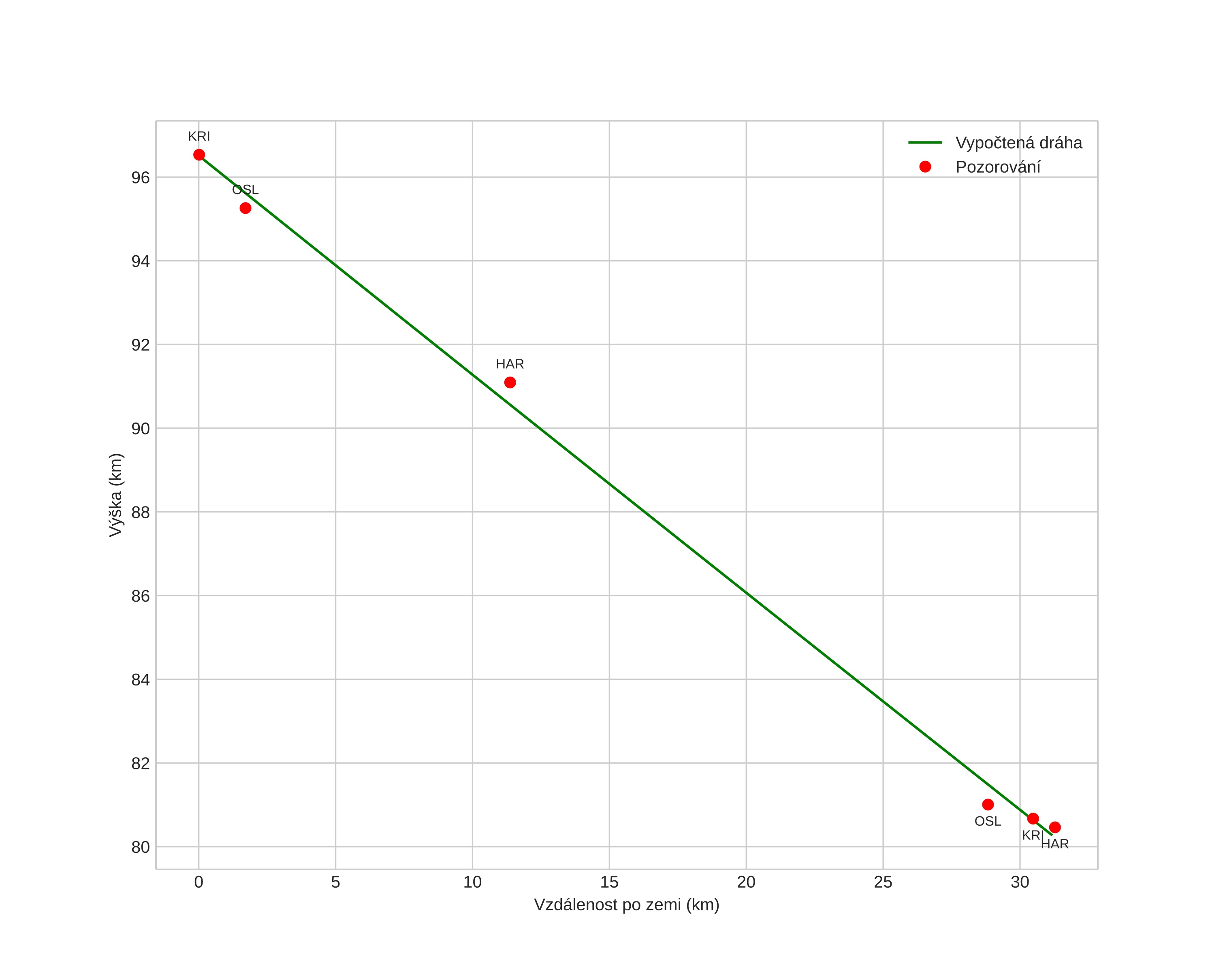
Atmosférická dráha meteoru:
Počáteční výška: 96,5 km
Konečná výška: 80,3 km
Počáteční poloha: 57,994N 5,067E
Konečná poloha: 58,267N 5,188E
Směr: 13,0°
Sklon: 27,5°
VstupnĂ­ rychlost: 23,9 km/s
Rektascenze radiantu: 20:41 (310,4°)
Deklinace radiantu: -8,1°
MeteorickĂ˝ roj: alpha-capricornidene
Elementy dráhy meteoroidu:
Vzdálenost v periheliu: 0,633 AU
Excentricita: 0,754
Sklon dráhy: 6,7°
Délka vzestupného uzlu: 134,5°
Argument perihelia: 262,8°
Střední anomálie: 349,2°
Epocha: 2017 AUG 07 00:10:36
orbit plot

NeinteraktivnĂ­ graf | InteraktivnĂ­ graf

position vs time
speed and acceleration