🇳🇴 🇬🇧 🇩🇪 🇨🇿 🇫🇮

Meteor, poloha: Give 2017-08-12 21:32:53 UTC

Soubor KML  |  InteraktivnĂ­ mapa

Mapa zobrazuje dráhy meteoru. Světlejší čáry ukazují směry od pozorovacích stanic při objevení se meteoru a tmavší čáry, kde byl naposledy viděn. Modrá šipka značí viditelnou dráhu meteoru.

static map
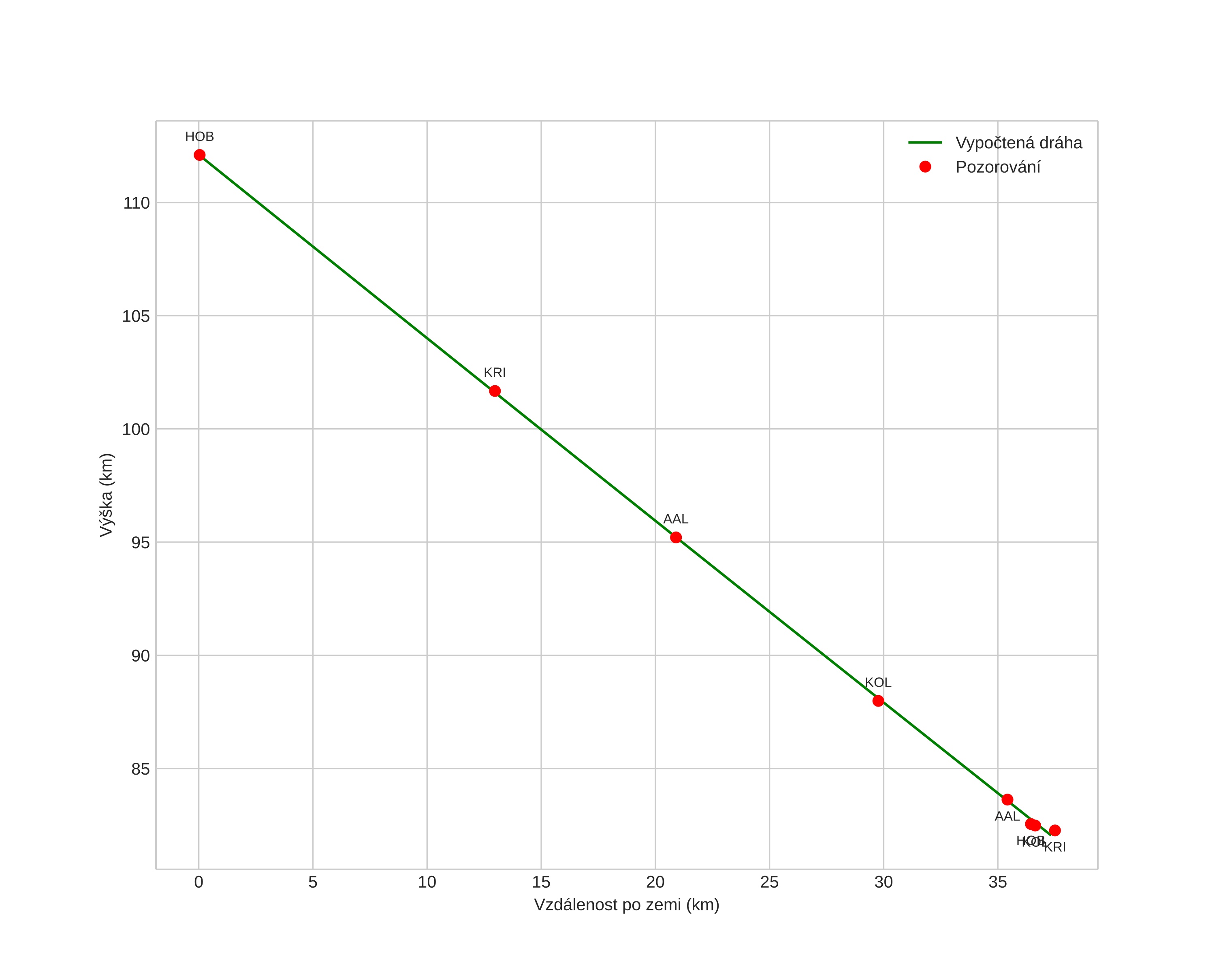
height profile
Atmosférická dráha meteoru:
Počáteční výška: 112,1 km
Konečná výška: 82,0 km
Počáteční poloha: 56,098N 9,652E
Konečná poloha: 55,838N 9,272E
Směr: 219,4°
Sklon: 38,9°
VstupnĂ­ rychlost: 59,9 km/s
Rektascenze radiantu: 02:45 (41,4°)
Deklinace radiantu: 58,7°
MeteorickĂ˝ roj: Perseidy
Elementy dráhy meteoroidu:
Vzdálenost v periheliu: 0,985 AU
Excentricita: 0,956
Sklon dráhy: 111,3°
Délka vzestupného uzlu: 140,1°
Argument perihelia: 160,5°
Střední anomálie: 0,1°
Epocha: 2017 AUG 12 21:32:53
orbit plot

NeinteraktivnĂ­ graf | InteraktivnĂ­ graf

position vs time
speed and acceleration