🇳🇴 🇬🇧 🇩🇪 🇨🇿 🇫🇮

Meteor, poloha: Hvide Sande 2017-08-12 21:56:10 UTC

Soubor KML  |  InteraktivnĂ­ mapa

Mapa zobrazuje dráhy meteoru. Světlejší čáry ukazují směry od pozorovacích stanic při objevení se meteoru a tmavší čáry, kde byl naposledy viděn. Modrá šipka značí viditelnou dráhu meteoru.

static map
height profile
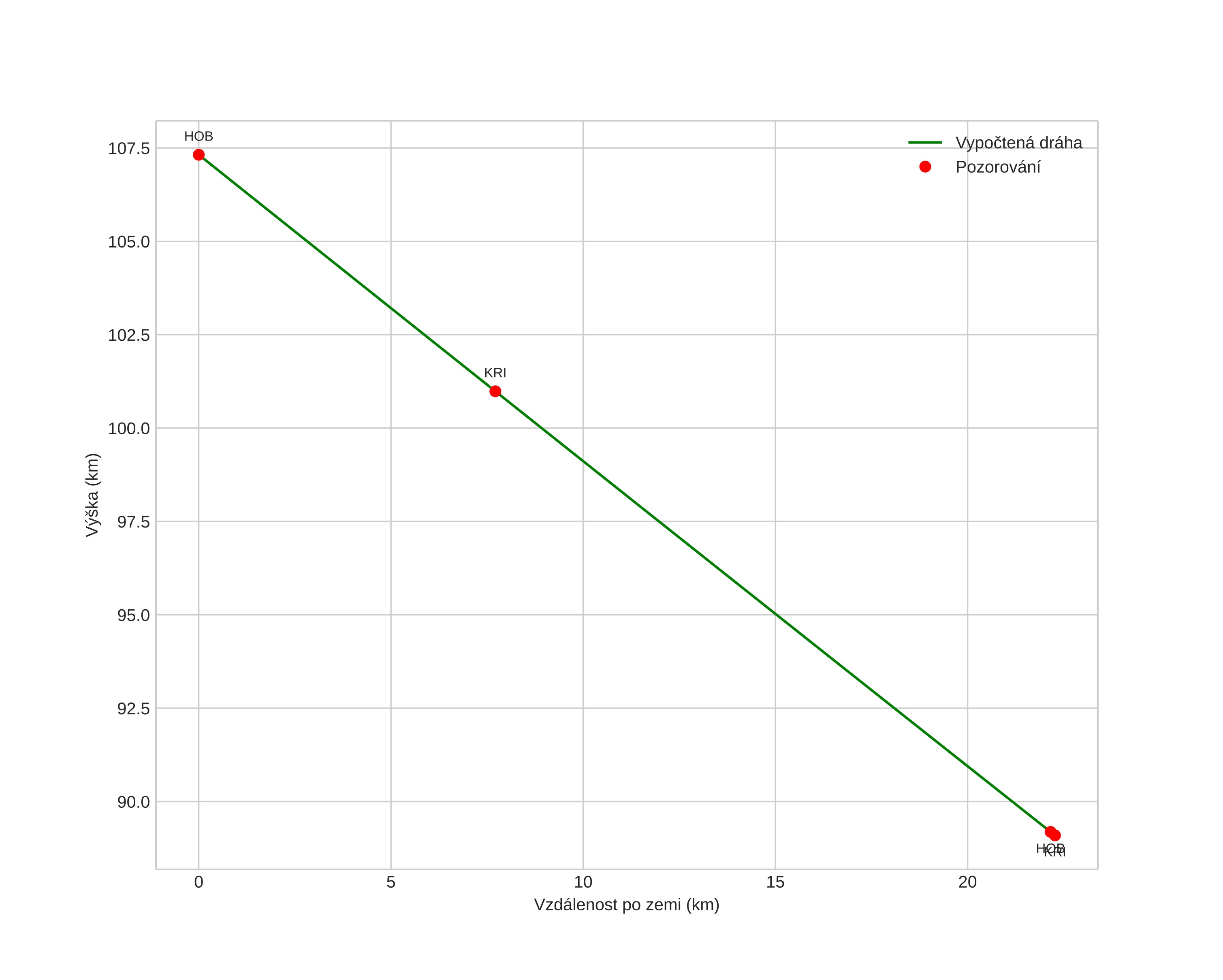
Atmosférická dráha meteoru:
Počáteční výška: 107,3 km
Konečná výška: 89,1 km
Počáteční poloha: 55,958N 8,006E
Konečná poloha: 55,801N 7,785E
Směr: 218,4°
Sklon: 39,3°
VstupnĂ­ rychlost: 61,5 km/s
Rektascenze radiantu: 03:03 (45,9°)
Deklinace radiantu: 59,6°
MeteorickĂ˝ roj: Perseidy
Elementy dráhy meteoroidu:
Vzdálenost v periheliu: 0,966 AU
Excentricita: 1,117
Sklon dráhy: 111,8°
Délka vzestupného uzlu: 140,1°
Argument perihelia: 155,7°
Střední anomálie: 0,7°
Epocha: 2017 AUG 12 21:56:10
orbit plot

NeinteraktivnĂ­ graf | InteraktivnĂ­ graf

position vs time
speed and acceleration