🇳🇴 🇬🇧 🇩🇪 🇨🇿 🇫🇮

Meteor, poloha: Fjerritslev 2017-08-12 23:36:21 UTC

Soubor KML  |  InteraktivnĂ­ mapa

Mapa zobrazuje dráhy meteoru. Světlejší čáry ukazují směry od pozorovacích stanic při objevení se meteoru a tmavší čáry, kde byl naposledy viděn. Modrá šipka značí viditelnou dráhu meteoru.

static map
height profile
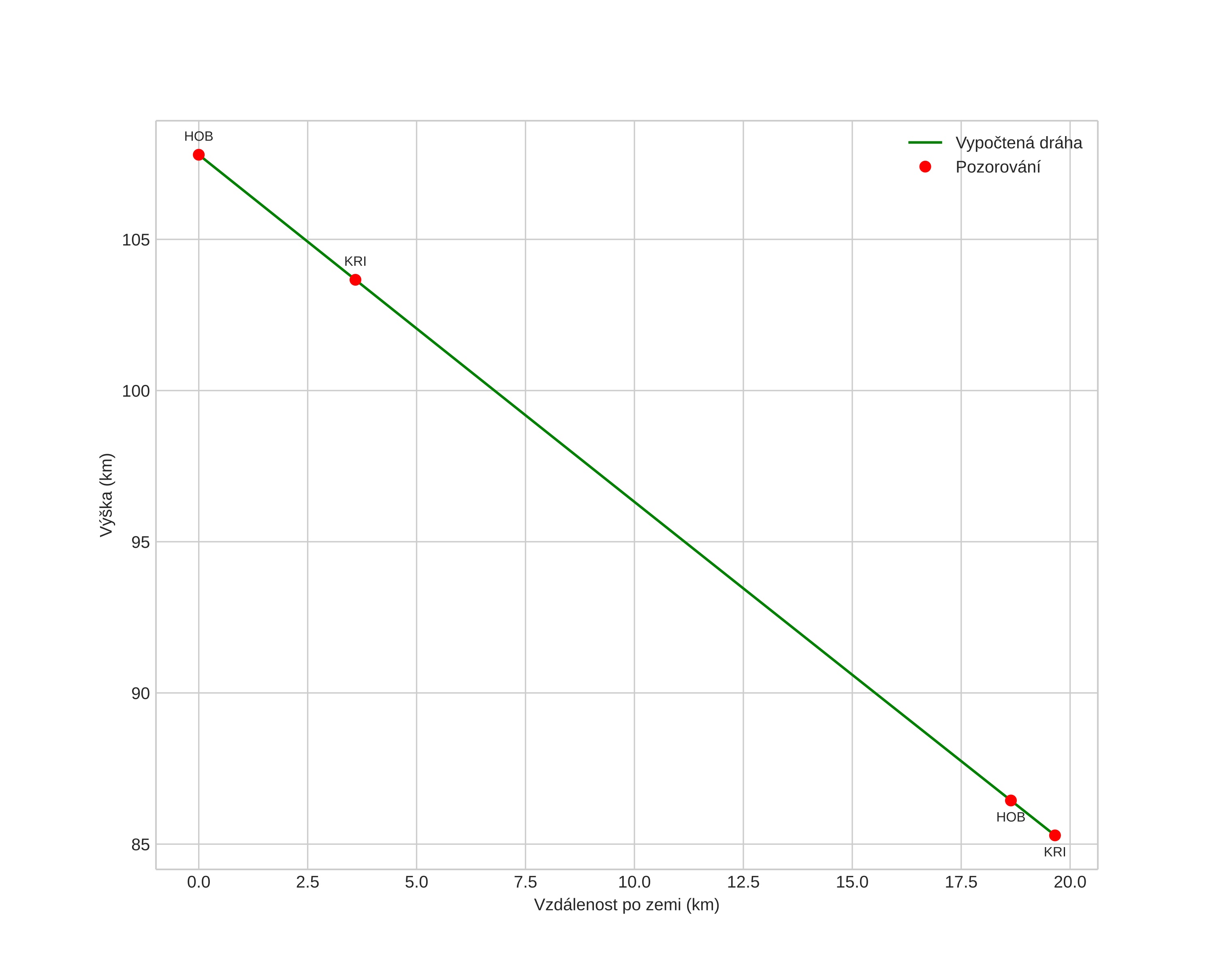
Atmosférická dráha meteoru:
Počáteční výška: 107,8 km
Konečná výška: 85,3 km
Počáteční poloha: 57,223N 9,333E
Konečná poloha: 57,107N 9,087E
Směr: 229,1°
Sklon: 48,9°
VstupnĂ­ rychlost: 56,0 km/s
Rektascenze radiantu: 03:19 (49,8°)
Deklinace radiantu: 59,9°
MeteorickĂ˝ roj: Perseidy
Elementy dráhy meteoroidu:
Vzdálenost v periheliu: 0,921 AU
Excentricita: 0,708
Sklon dráhy: 107,7°
Délka vzestupného uzlu: 140,2°
Argument perihelia: 141,3°
Střední anomálie: 5,0°
Epocha: 2017 AUG 12 23:36:21
orbit plot

NeinteraktivnĂ­ graf | InteraktivnĂ­ graf

position vs time
speed and acceleration