🇳🇴 🇬🇧 🇩🇪 🇨🇿 🇫🇮

Meteor, poloha: Vanse 2017-08-13 01:58:14 UTC

Soubor KML  |  InteraktivnĂ­ mapa

Mapa zobrazuje dráhy meteoru. Světlejší čáry ukazují směry od pozorovacích stanic při objevení se meteoru a tmavší čáry, kde byl naposledy viděn. Modrá šipka značí viditelnou dráhu meteoru.

static map
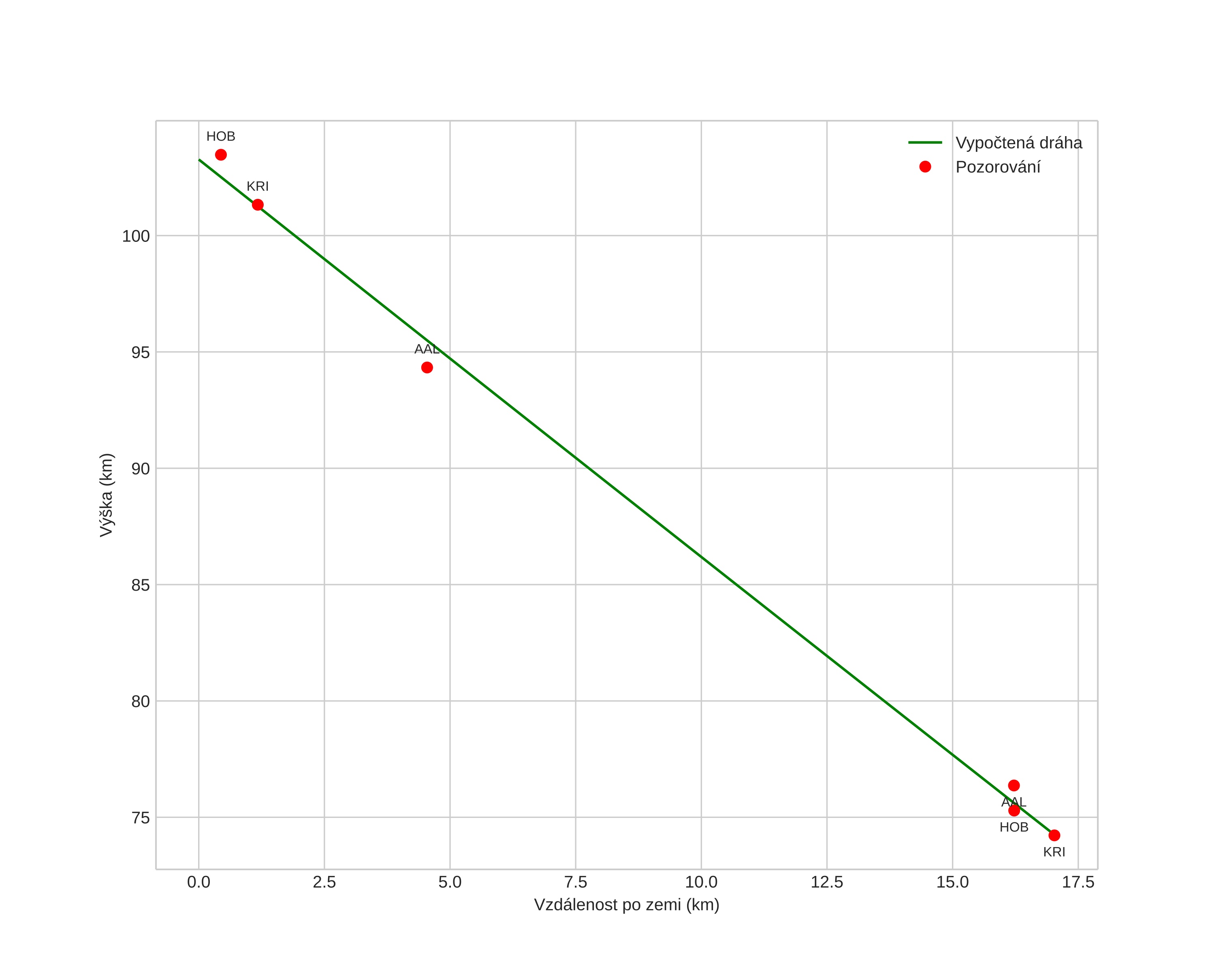
height profile
Atmosférická dráha meteoru:
Počáteční výška: 103,3 km
Konečná výška: 74,2 km
Počáteční poloha: 58,128N 6,983E
Konečná poloha: 58,077N 6,710E
Směr: 250,7°
Sklon: 59,6°
VstupnĂ­ rychlost: 59,7 km/s
Rektascenze radiantu: 03:38 (54,5°)
Deklinace radiantu: 55,1°
MeteorickĂ˝ roj: Perseidy
Elementy dráhy meteoroidu:
Vzdálenost v periheliu: 0,891 AU
Excentricita: 0,808
Sklon dráhy: 117,1°
Délka vzestupného uzlu: 140,3°
Argument perihelia: 136,9°
Střední anomálie: 2,9°
Epocha: 2017 AUG 13 01:58:14
orbit plot

NeinteraktivnĂ­ graf | InteraktivnĂ­ graf

position vs time
speed and acceleration