🇳🇴 🇬🇧 🇩🇪 🇨🇿 🇫🇮

Meteor, poloha: Skjeberg 2017-08-13 20:43:46 UTC

Soubor KML  |  InteraktivnĂ­ mapa

Mapa zobrazuje dráhy meteoru. Světlejší čáry ukazují směry od pozorovacích stanic při objevení se meteoru a tmavší čáry, kde byl naposledy viděn. Modrá šipka značí viditelnou dráhu meteoru.

static map
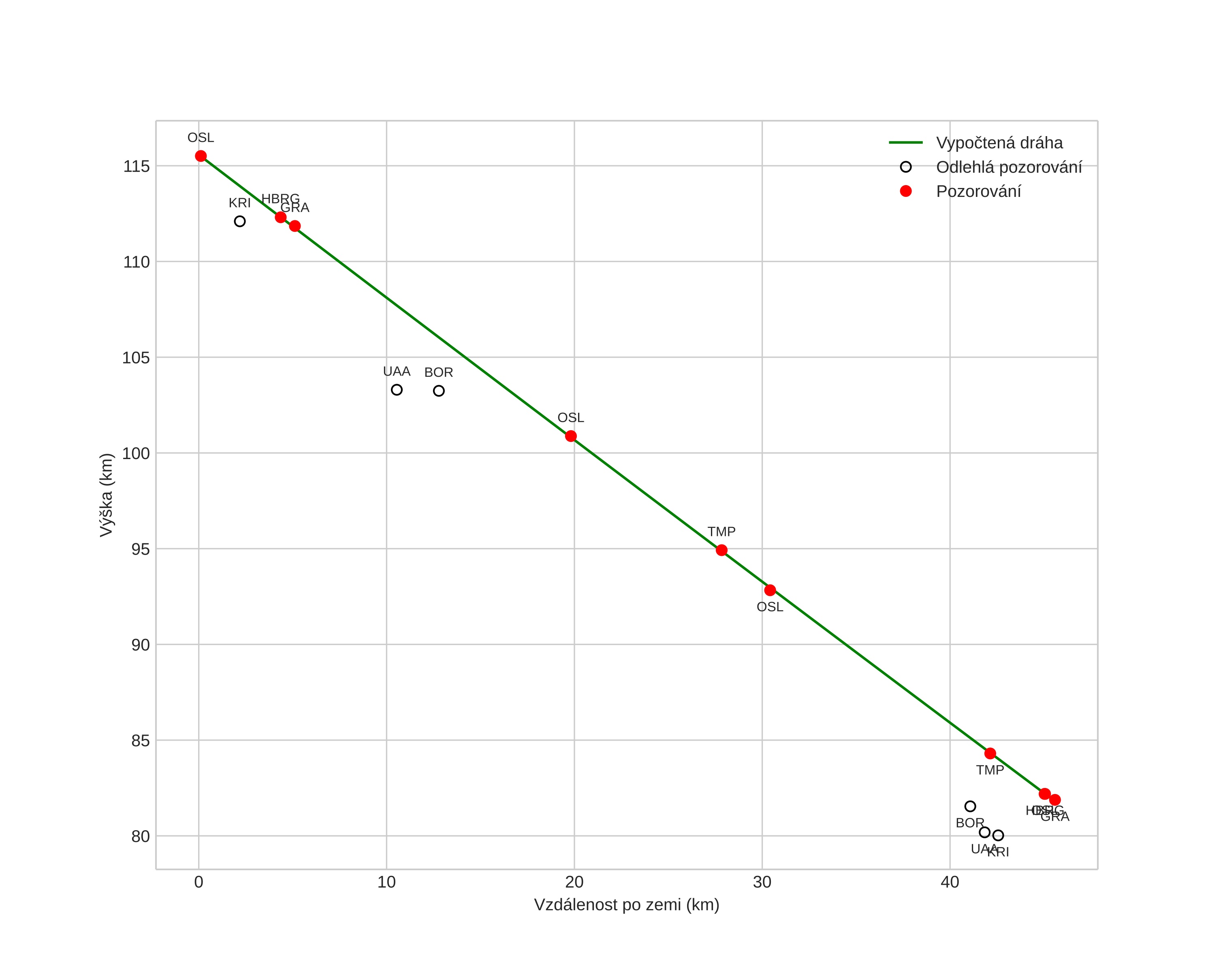
height profile
Atmosférická dráha meteoru:
Počáteční výška: 115,6 km
Konečná výška: 81,8 km
Počáteční poloha: 59,577N 11,710E
Konečná poloha: 59,233N 11,271E
Směr: 213,2°
Sklon: 36,6°
VstupnĂ­ rychlost: 61,1 km/s
Rektascenze radiantu: 03:10 (47,6°)
Deklinace radiantu: 58,3°
MeteorickĂ˝ roj: Perseidy
Elementy dráhy meteoroidu:
Vzdálenost v periheliu: 0,963 AU
Excentricita: 1,021
Sklon dráhy: 113,5°
Délka vzestupného uzlu: 141,0°
Argument perihelia: 154,6°
Střední anomálie: 0,1°
Epocha: 2017 AUG 13 20:43:46
orbit plot

NeinteraktivnĂ­ graf | InteraktivnĂ­ graf

position vs time
speed and acceleration

Gran (GRA) cam1


gnomonic
Videa
• Gnomonická
• Původní
• Původní se souřadnicemi
Obrázky
• Gnomonická
• Gnomonická se souřadnicemi
• Gnomonická s popisky
• Původní
• Původní se souřadnicemi
• Původní s maskou
Textové soubory
• Detekce
• Pozorování
• Souřadnice
• Chybová hlášení
• Protokol
Jasnost