🇳🇴 🇬🇧 🇩🇪 🇨🇿 🇫🇮

Meteor Sålandan yllä 2017-08-13 23:50:53 UTC

KML-tiedosto  |  Interaktiivinen kartta

Kartta näyttää meteorin suuntahavainnot. Vaaleammat viivat näyttävät suunnat havaintoasemilta meteorin ilmestyessä, ja tummemmat viivat näyttävät, missä se viimeksi nähtiin. Sininen nuoli näyttää meteorin näkyvän lennon.

static map
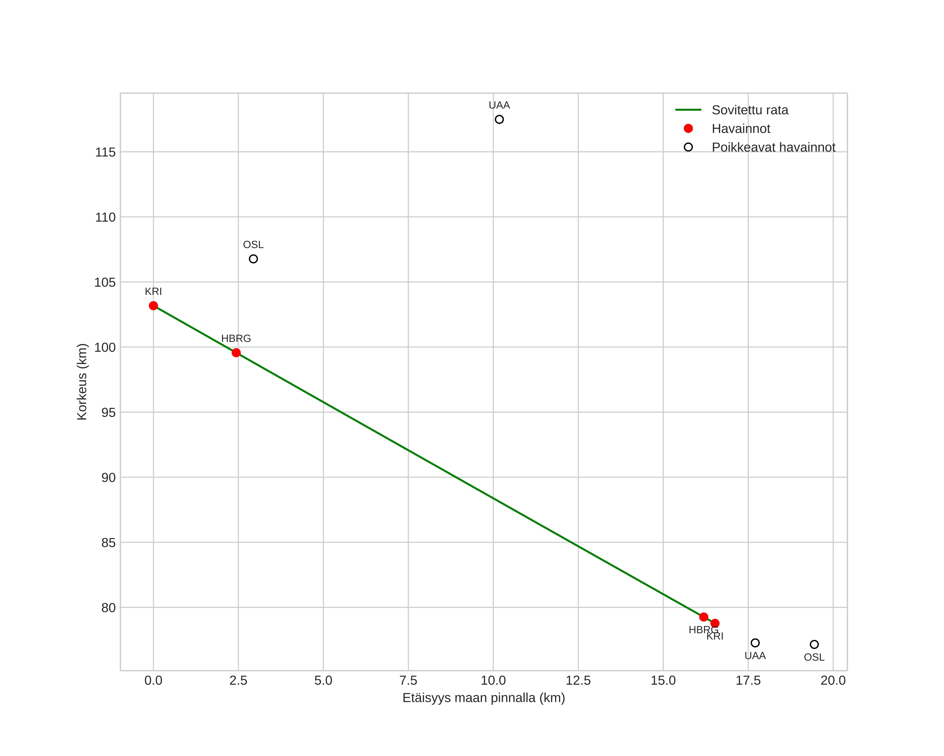
height profile
Meteorin ilmakehärata:
Alkukorkeus: 103,2 km
Loppukorkeus: 78,8 km
Alkupiste: 58,175N 12,479E
Loppupiste: 58,079N 12,263E
Suunta: 230,1°
Kallistuskulma: 55,9°
Tulonopeus: 55,9 km/s
Radiantin R,A,: 03:02 (45,7°)
Radiantin Dekl,: 63,2°
Meteoriparvi: Perseidit
Meteoroidin rataelementit:
Perihelietäisyys: 0,960 AU
Eksentrisyys: 0,819
Inklinaatio: 103,6°
Nousevan solmun pituus: 141,2°
Perihelin argumentti: 152,1°
Keskianomalia: 1,7°
Epookki: 2017 AUG 13 23:50:53
orbit plot

Ei-interaktiivinen kuvaaja | Interaktiivinen kuvaaja

position vs time
speed and acceleration