🇳🇴 🇬🇧 🇩🇪 🇨🇿 🇫🇮

Meteor, poloha: Mandal 2017-08-16 20:48:30 UTC

Soubor KML  |  InteraktivnĂ­ mapa

Mapa zobrazuje dráhy meteoru. Světlejší čáry ukazují směry od pozorovacích stanic při objevení se meteoru a tmavší čáry, kde byl naposledy viděn. Modrá šipka značí viditelnou dráhu meteoru.

static map
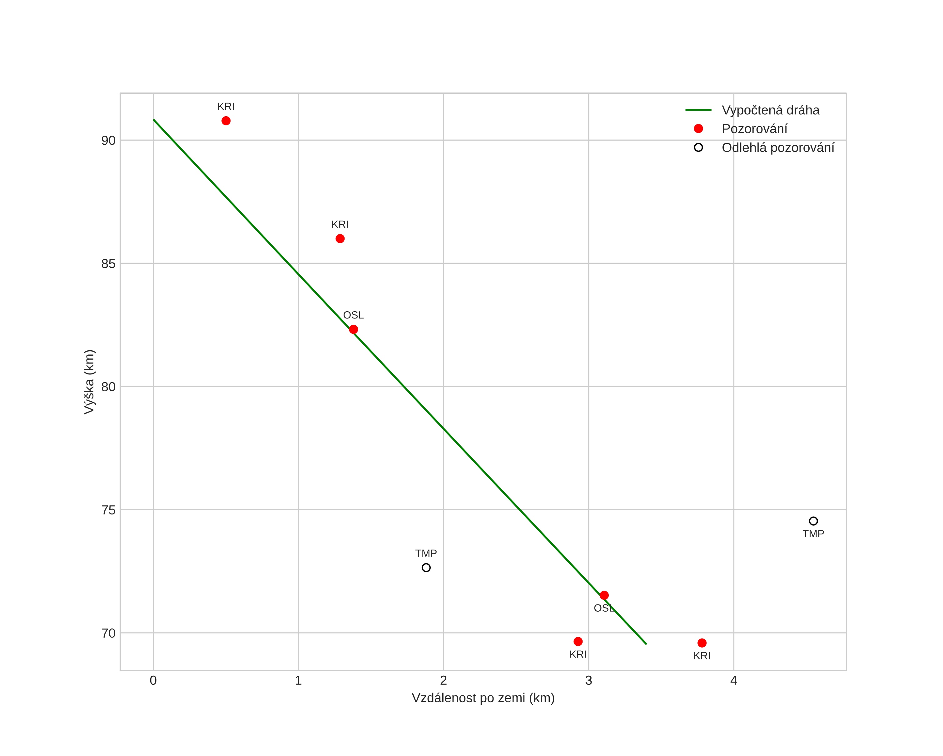
height profile
Atmosférická dráha meteoru:
Počáteční výška: 90,8 km
Konečná výška: 69,5 km
Počáteční poloha: 57,055N 7,126E
Konečná poloha: 57,027N 7,149E
Směr: 156,0°
Sklon: 80,9°
VstupnĂ­ rychlost: 23,3 km/s
Rektascenze radiantu: 18:14 (273,6°)
Deklinace radiantu: 65,3°
MeteorickĂ˝ roj: Kappa Cygnidy
Elementy dráhy meteoroidu:
Vzdálenost v periheliu: 1,011 AU
Excentricita: 0,473
Sklon dráhy: 34,9°
Délka vzestupného uzlu: 143,9°
Argument perihelia: 185,0°
Střední anomálie: 358,4°
Epocha: 2017 AUG 16 20:48:30
orbit plot

NeinteraktivnĂ­ graf | InteraktivnĂ­ graf

position vs time
speed and acceleration