🇳🇴 🇬🇧 🇩🇪 🇨🇿 🇫🇮

Meteor, poloha: Sandane 2017-08-30 02:46:42 UTC

Soubor KML  |  InteraktivnĂ­ mapa

Mapa zobrazuje dráhy meteoru. Světlejší čáry ukazují směry od pozorovacích stanic při objevení se meteoru a tmavší čáry, kde byl naposledy viděn. Modrá šipka značí viditelnou dráhu meteoru.

static map
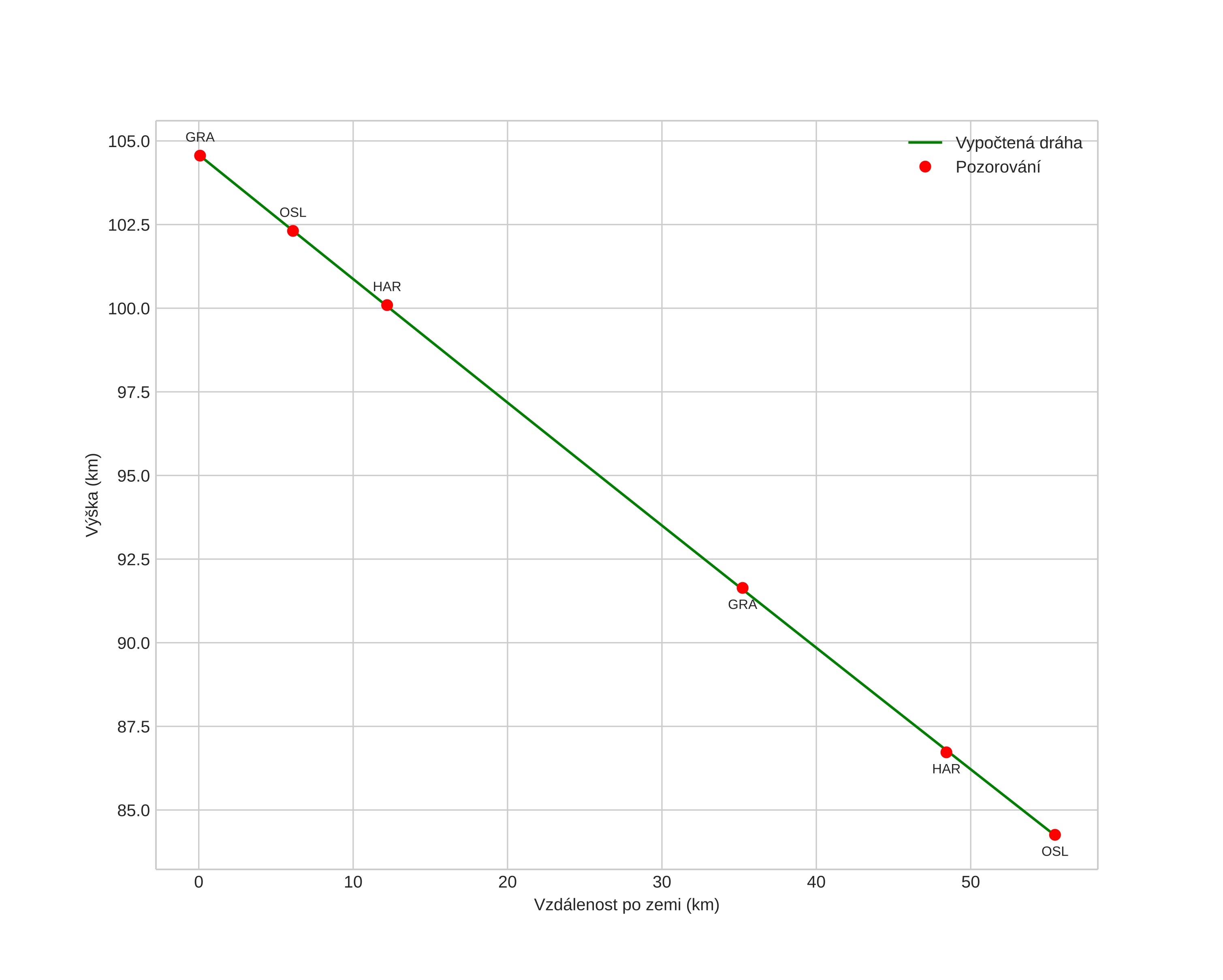
height profile
Atmosférická dráha meteoru:
Počáteční výška: 104,6 km
Konečná výška: 84,2 km
Počáteční poloha: 61,571N 7,230E
Konečná poloha: 61,743N 6,243E
Směr: 290,6°
Sklon: 20,2°
VstupnĂ­ rychlost: 65,2 km/s
Rektascenze radiantu: 05:59 (89,9°)
Deklinace radiantu: 7,9°
MeteorickĂ˝ roj: sporadickĂ˝
Elementy dráhy meteoroidu:
Vzdálenost v periheliu: 0,628 AU
Excentricita: 0,892
Sklon dráhy: 147,8°
Délka vzestupného uzlu: 336,7°
Argument perihelia: 281,5°
Střední anomálie: 2,9°
Epocha: 2017 AUG 30 02:46:42
orbit plot

NeinteraktivnĂ­ graf | InteraktivnĂ­ graf

position vs time
speed and acceleration