🇳🇴 🇬🇧 🇩🇪 🇨🇿 🇫🇮

Meteor, poloha: Slidre 2017-08-30 02:54:50 UTC

Soubor KML  |  InteraktivnĂ­ mapa

Mapa zobrazuje dráhy meteoru. Světlejší čáry ukazují směry od pozorovacích stanic při objevení se meteoru a tmavší čáry, kde byl naposledy viděn. Modrá šipka značí viditelnou dráhu meteoru.

static map
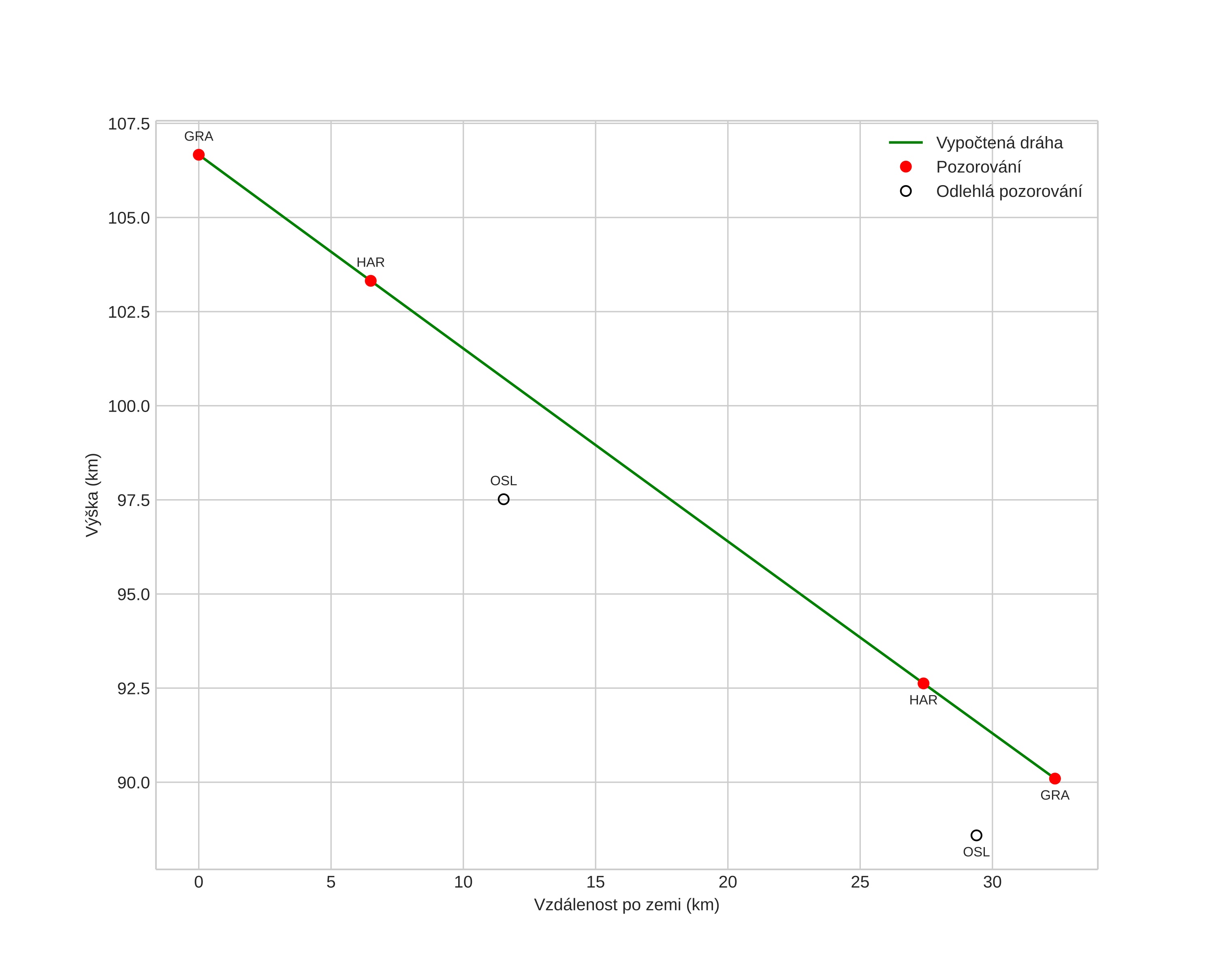
height profile
Atmosférická dráha meteoru:
Počáteční výška: 106,7 km
Konečná výška: 90,1 km
Počáteční poloha: 61,080N 8,378E
Konečná poloha: 61,037N 8,973E
Směr: 98,4°
Sklon: 27,2°
VstupnĂ­ rychlost: 25,8 km/s
Rektascenze radiantu: 20:20 (305,2°)
Deklinace radiantu: 24,2°
MeteorickĂ˝ roj: sporadickĂ˝
Elementy dráhy meteoroidu:
Vzdálenost v periheliu: 0,860 AU
Excentricita: 1,055
Sklon dráhy: 23,8°
Délka vzestupného uzlu: 156,7°
Argument perihelia: 224,7°
Střední anomálie: -0,4°
Epocha: 2017 AUG 30 02:54:50
orbit plot

NeinteraktivnĂ­ graf | InteraktivnĂ­ graf

position vs time
speed and acceleration

Gran (GRA) cam2


gnomonic
Videa
• Gnomonická
• Původní
• Původní se souřadnicemi
Obrázky
• Gnomonická
• Gnomonická se souřadnicemi
• Gnomonická s popisky
• Původní
• Původní se souřadnicemi
• Původní s maskou
Textové soubory
• Detekce
• Pozorování
• Souřadnice
• Chybová hlášení
• Protokol
Jasnost