🇳🇴 🇬🇧 🇩🇪 🇨🇿 🇫🇮

Meteor Tanumsheden yllä 2017-10-04 02:20:12 UTC

KML-tiedosto  |  Interaktiivinen kartta

Kartta näyttää meteorin suuntahavainnot. Vaaleammat viivat näyttävät suunnat havaintoasemilta meteorin ilmestyessä, ja tummemmat viivat näyttävät, missä se viimeksi nähtiin. Sininen nuoli näyttää meteorin näkyvän lennon.

static map
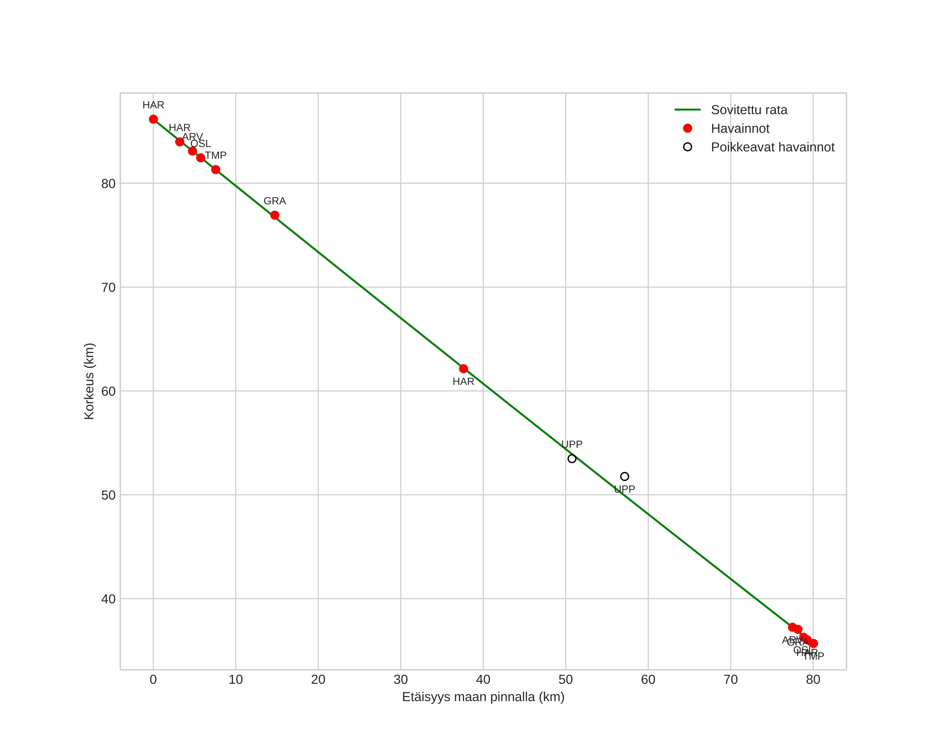
height profile
Meteorin ilmakehärata:
Alkukorkeus: 86,2 km
Loppukorkeus: 35,7 km
Alkupiste: 59,471N 11,498E
Loppupiste: 58,751N 11,522E
Suunta: 179,0°
Kallistuskulma: 32,3°
Tulonopeus: 26,6 km/s
Radiantin R,A,: 16:08 (242,1°)
Radiantin Dekl,: 59,8°
Meteoriparvi: Sporadinen
Meteoroidin rataelementit:
Perihelietäisyys: 0,977 AU
Eksentrisyys: 0,691
Inklinaatio: 37,9°
Nousevan solmun pituus: 190,8°
Perihelin argumentti: 160,4°
Keskianomalia: 2,6°
Epookki: 2017 OCT 04 02:20:12
orbit plot

Ei-interaktiivinen kuvaaja | Interaktiivinen kuvaaja

position vs time
speed and acceleration