🇳🇴 🇬🇧 🇩🇪 🇨🇿 🇫🇮

Meteor, poloha: Fevik 2017-10-09 22:58:33 UTC

Soubor KML  |  InteraktivnĂ­ mapa

Mapa zobrazuje dráhy meteoru. Světlejší čáry ukazují směry od pozorovacích stanic při objevení se meteoru a tmavší čáry, kde byl naposledy viděn. Modrá šipka značí viditelnou dráhu meteoru.

static map
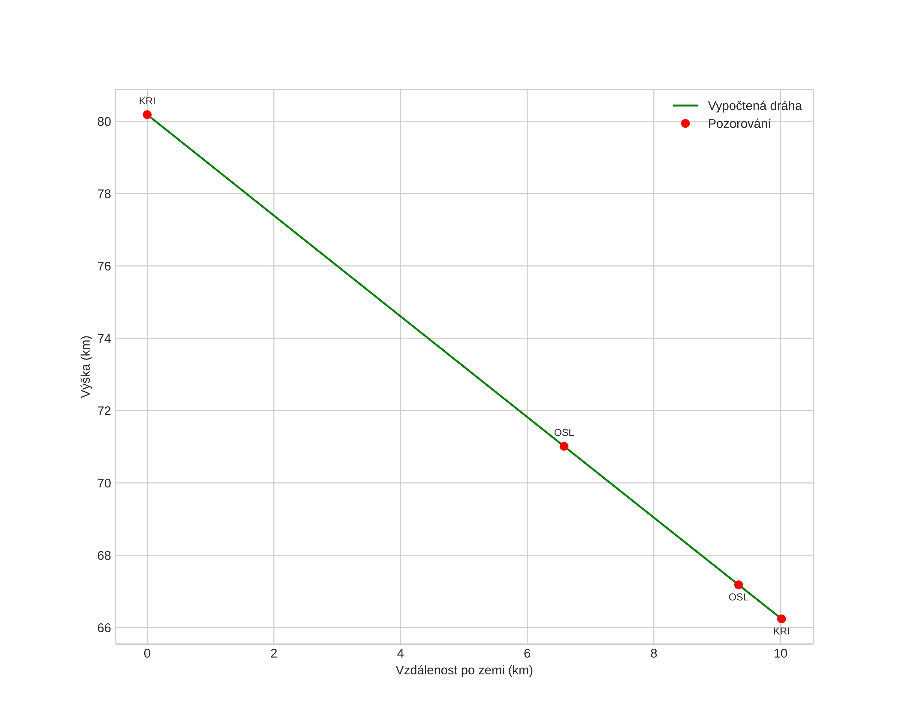
height profile
Atmosférická dráha meteoru:
Počáteční výška: 80,2 km
Konečná výška: 66,2 km
Počáteční poloha: 58,381N 8,608E
Konečná poloha: 58,327N 8,746E
Směr: 126,6°
Sklon: 54,4°
VstupnĂ­ rychlost: 21,3 km/s
Rektascenze radiantu: 19:30 (292,6°)
Deklinace radiantu: 58,7°
MeteorickĂ˝ roj: sporadickĂ˝
Elementy dráhy meteoroidu:
Vzdálenost v periheliu: 0,987 AU
Excentricita: 0,576
Sklon dráhy: 28,7°
Délka vzestupného uzlu: 196,6°
Argument perihelia: 194,6°
Střední anomálie: 356,8°
Epocha: 2017 OCT 09 22:58:33
orbit plot

NeinteraktivnĂ­ graf | InteraktivnĂ­ graf

position vs time
speed and acceleration