🇳🇴 🇬🇧 🇩🇪 🇨🇿 🇫🇮

Meteor, poloha: Lerwick 2017-10-14 04:42:35 UTC

Soubor KML  |  InteraktivnĂ­ mapa

Mapa zobrazuje dráhy meteoru. Světlejší čáry ukazují směry od pozorovacích stanic při objevení se meteoru a tmavší čáry, kde byl naposledy viděn. Modrá šipka značí viditelnou dráhu meteoru.

static map
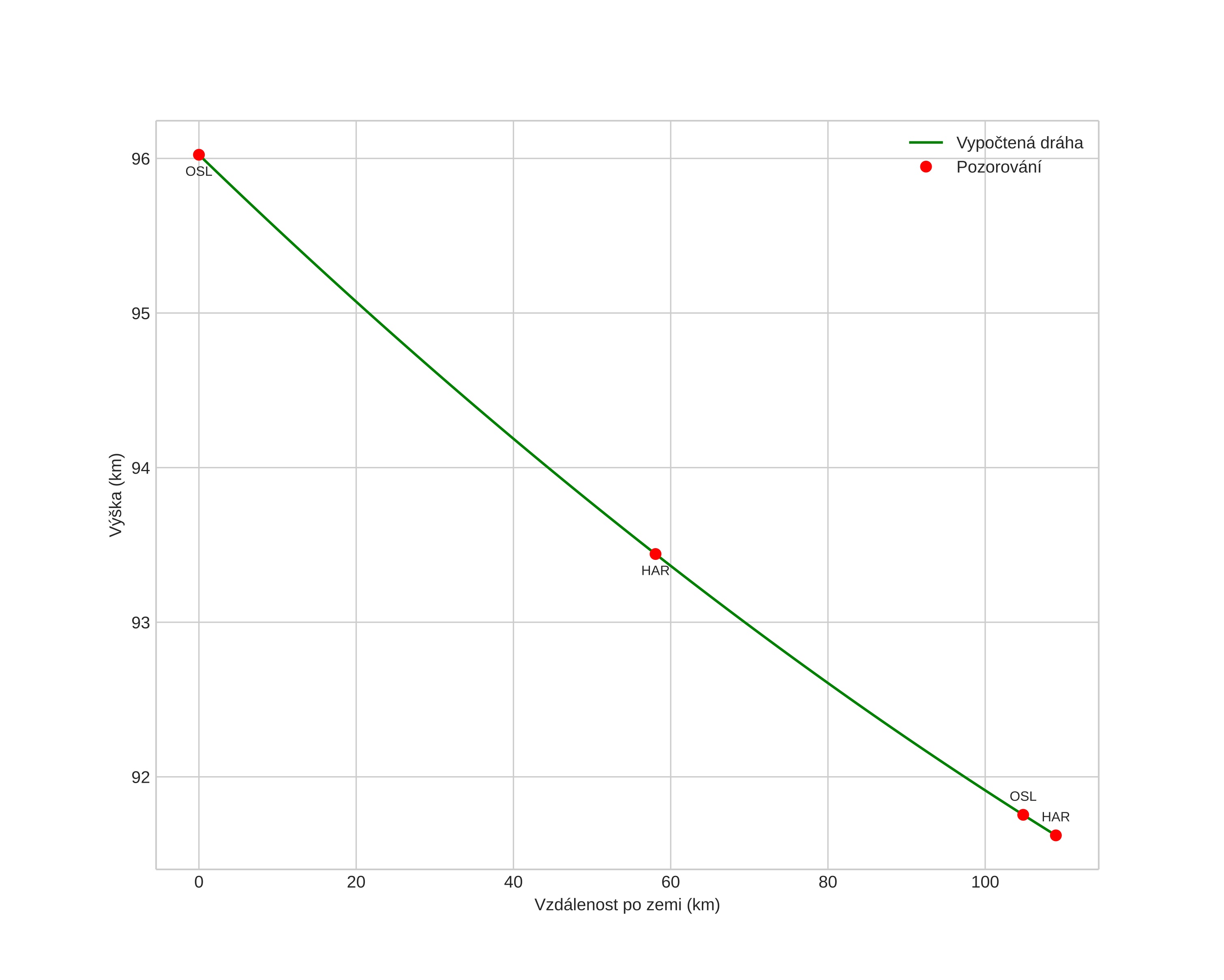
height profile
Atmosférická dráha meteoru:
Počáteční výška: 91,6 km
Konečná výška: 96,0 km
Počáteční poloha: 59,563N 3,250E
Konečná poloha: 59,560N 1,315E
Směr: 270,6°
Sklon: -2,3°
VstupnĂ­ rychlost: 68,8 km/s
Rektascenze radiantu: 12:30 (187,6°)
Deklinace radiantu: -2,9°
MeteorickĂ˝ roj: sporadickĂ˝
Elementy dráhy meteoroidu:
Vzdálenost v periheliu: 0,108 AU
Excentricita: 1,334
Sklon dráhy: 1,6°
Délka vzestupného uzlu: 200,8°
Argument perihelia: 56,0°
Střední anomálie: 118,6°
Epocha: 2017 OCT 14 04:42:35
orbit plot

NeinteraktivnĂ­ graf | InteraktivnĂ­ graf

position vs time
speed and acceleration