🇳🇴 🇬🇧 🇩🇪 🇨🇿 🇫🇮

Meteor, poloha: Risør 2017-10-29 04:44:53 UTC

Soubor KML  |  InteraktivnĂ­ mapa

Mapa zobrazuje dráhy meteoru. Světlejší čáry ukazují směry od pozorovacích stanic při objevení se meteoru a tmavší čáry, kde byl naposledy viděn. Modrá šipka značí viditelnou dráhu meteoru.

static map
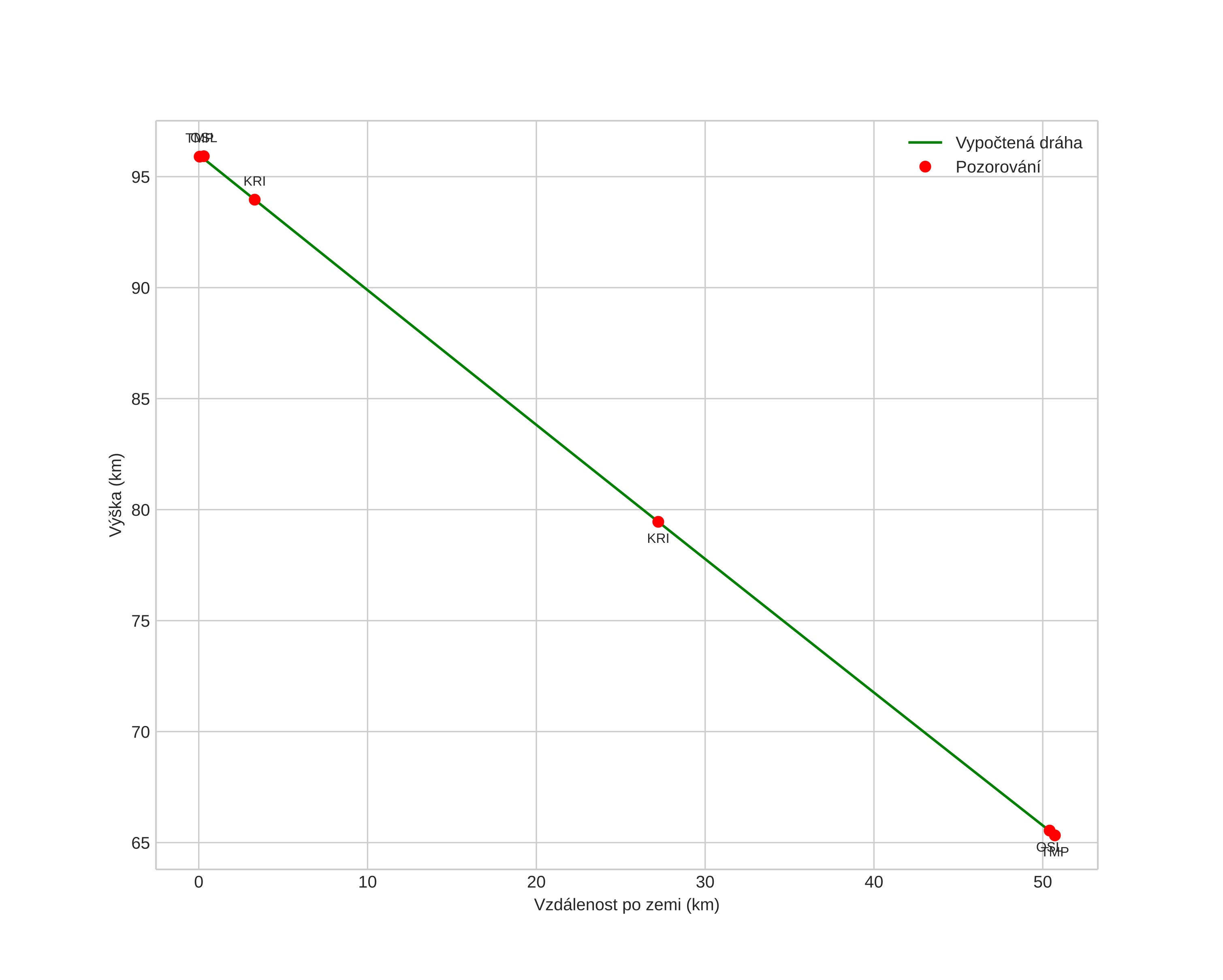
height profile
Atmosférická dráha meteoru:
Počáteční výška: 96,0 km
Konečná výška: 65,3 km
Počáteční poloha: 58,157N 8,816E
Konečná poloha: 58,229N 9,671E
Směr: 80,5°
Sklon: 31,2°
VstupnĂ­ rychlost: 35,0 km/s
Rektascenze radiantu: 03:25 (51,3°)
Deklinace radiantu: 19,8°
MeteorickĂ˝ roj: sporadickĂ˝
Elementy dráhy meteoroidu:
Vzdálenost v periheliu: 0,223 AU
Excentricita: 0,907
Sklon dráhy: 1,8°
Délka vzestupného uzlu: 215,7°
Argument perihelia: 309,1°
Střední anomálie: 349,9°
Epocha: 2017 OCT 29 04:44:53
orbit plot

NeinteraktivnĂ­ graf | InteraktivnĂ­ graf

position vs time
speed and acceleration