🇳🇴 🇬🇧 🇩🇪 🇨🇿 🇫🇮

Meteor, poloha: Berger 2017-10-29 04:54:20 UTC

Soubor KML  |  InteraktivnĂ­ mapa

Mapa zobrazuje dráhy meteoru. Světlejší čáry ukazují směry od pozorovacích stanic při objevení se meteoru a tmavší čáry, kde byl naposledy viděn. Modrá šipka značí viditelnou dráhu meteoru.

static map
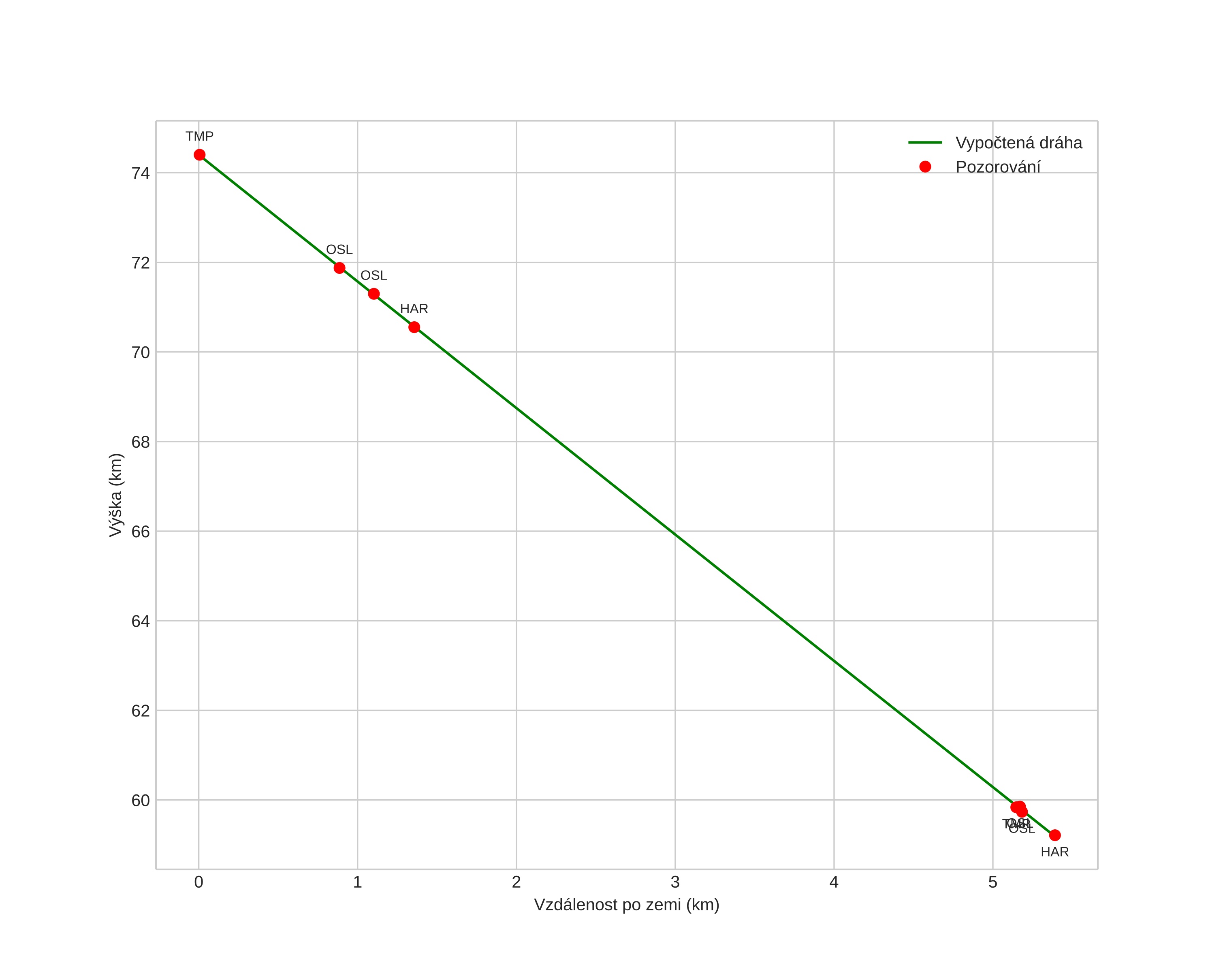
height profile
Atmosférická dráha meteoru:
Počáteční výška: 74,4 km
Konečná výška: 59,2 km
Počáteční poloha: 59,597N 10,348E
Konečná poloha: 59,564N 10,419E
Směr: 132,6°
Sklon: 70,5°
VstupnĂ­ rychlost: 13,3 km/s
Rektascenze radiantu: 04:13 (63,4°)
Deklinace radiantu: 66,7°
MeteorickĂ˝ roj: sporadickĂ˝
Elementy dráhy meteoroidu:
Vzdálenost v periheliu: 0,667 AU
Excentricita: 0,224
Sklon dráhy: 11,1°
Délka vzestupného uzlu: 215,7°
Argument perihelia: 322,4°
Střední anomálie: 235,7°
Epocha: 2017 OCT 29 04:54:20
orbit plot

NeinteraktivnĂ­ graf | InteraktivnĂ­ graf

position vs time
speed and acceleration