🇳🇴 🇬🇧 🇩🇪 🇨🇿 🇫🇮

Meteor, poloha: Reinsvoll 2017-11-01 01:26:37 UTC

Soubor KML  |  InteraktivnĂ­ mapa

Mapa zobrazuje dráhy meteoru. Světlejší čáry ukazují směry od pozorovacích stanic při objevení se meteoru a tmavší čáry, kde byl naposledy viděn. Modrá šipka značí viditelnou dráhu meteoru.

static map
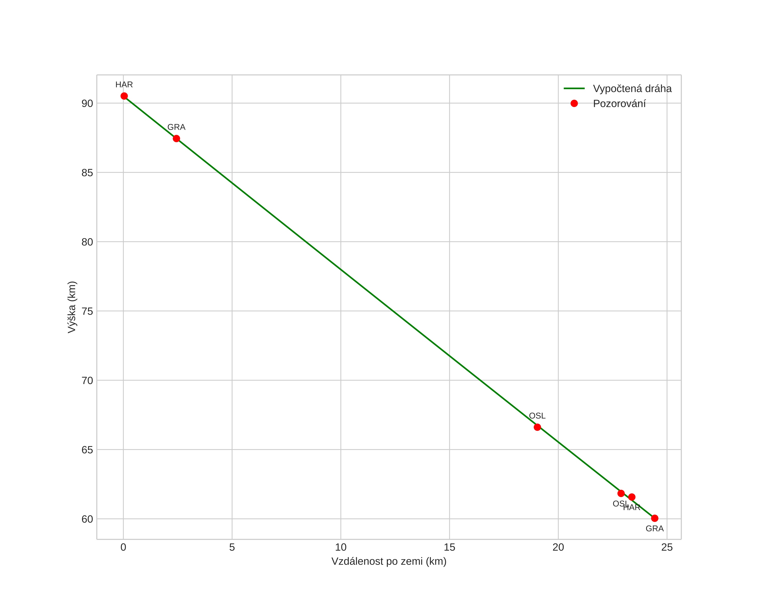
height profile
Atmosférická dráha meteoru:
Počáteční výška: 90,5 km
Konečná výška: 60,0 km
Počáteční poloha: 60,433N 10,423E
Konečná poloha: 60,627N 10,630E
Směr: 27,6°
Sklon: 51,3°
VstupnĂ­ rychlost: 35,5 km/s
Rektascenze radiantu: 03:32 (53,2°)
Deklinace radiantu: 22,7°
MeteorickĂ˝ roj: sporadickĂ˝
Elementy dráhy meteoroidu:
Vzdálenost v periheliu: 0,227 AU
Excentricita: 0,913
Sklon dráhy: 5,9°
Délka vzestupného uzlu: 218,6°
Argument perihelia: 307,9°
Střední anomálie: 351,2°
Epocha: 2017 NOV 01 01:26:37
orbit plot

NeinteraktivnĂ­ graf | InteraktivnĂ­ graf

position vs time
speed and acceleration