🇳🇴 🇬🇧 🇩🇪 🇨🇿 🇫🇮

Meteor, poloha: Hokksund 2017-11-03 16:43:14 UTC

Soubor KML  |  InteraktivnĂ­ mapa

Mapa zobrazuje dráhy meteoru. Světlejší čáry ukazují směry od pozorovacích stanic při objevení se meteoru a tmavší čáry, kde byl naposledy viděn. Modrá šipka značí viditelnou dráhu meteoru.

static map
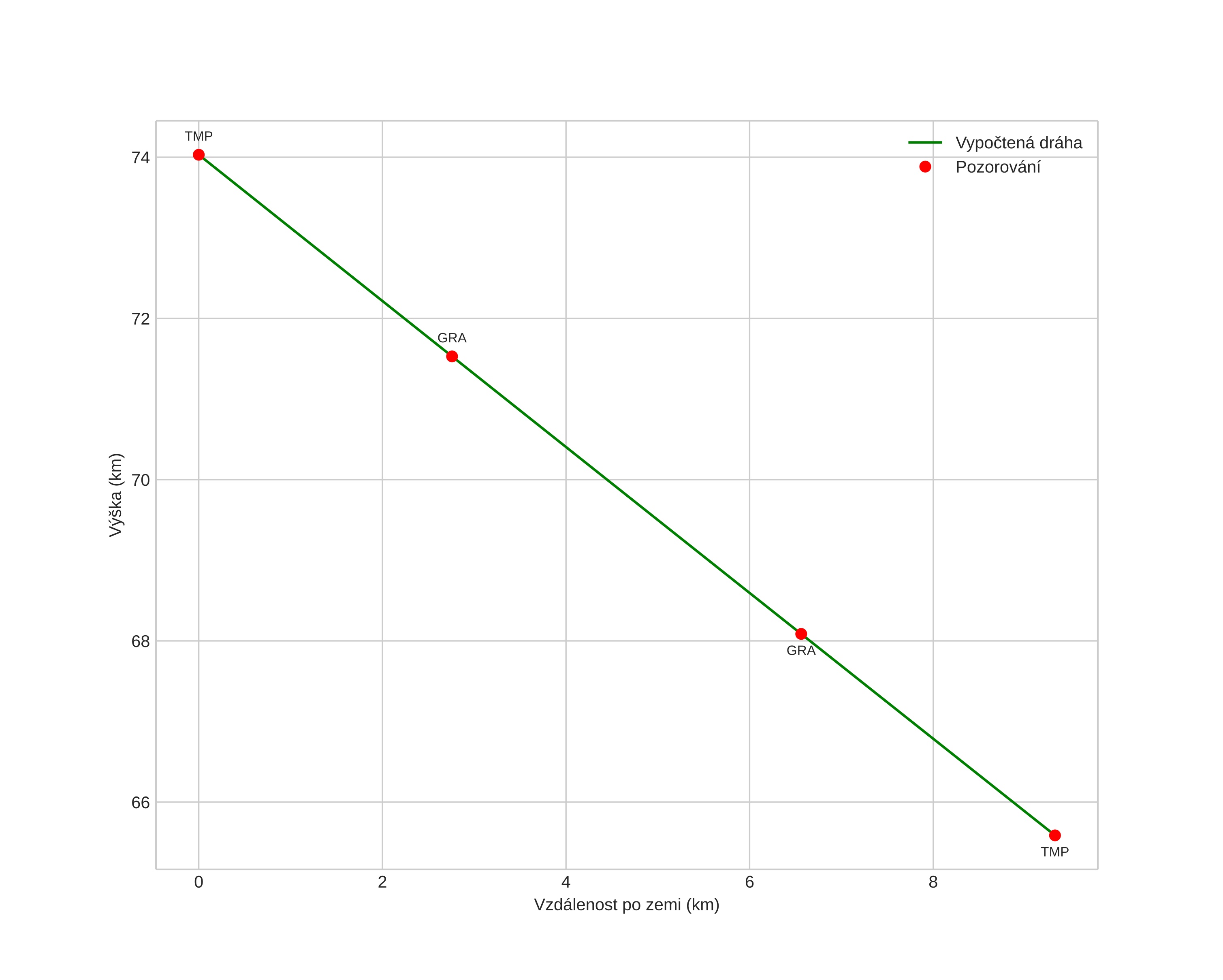
height profile
Atmosférická dráha meteoru:
Počáteční výška: 74,0 km
Konečná výška: 65,6 km
Počáteční poloha: 59,793N 9,937E
Konečná poloha: 59,825N 9,782E
Směr: 292,3°
Sklon: 42,0°
VstupnĂ­ rychlost: 14,8 km/s
Rektascenze radiantu: 23:53 (358,3°)
Deklinace radiantu: 16,9°
MeteorickĂ˝ roj: sporadickĂ˝
Elementy dráhy meteoroidu:
Vzdálenost v periheliu: 0,922 AU
Excentricita: 0,515
Sklon dráhy: 4,3°
Délka vzestupného uzlu: 221,2°
Argument perihelia: 217,5°
Střední anomálie: 349,2°
Epocha: 2017 NOV 03 16:43:14
orbit plot

NeinteraktivnĂ­ graf | InteraktivnĂ­ graf

position vs time
speed and acceleration