🇳🇴 🇬🇧 🇩🇪 🇨🇿 🇫🇮

Meteor, poloha: Lesja 2017-11-04 01:47:52 UTC

Soubor KML  |  InteraktivnĂ­ mapa

Mapa zobrazuje dráhy meteoru. Světlejší čáry ukazují směry od pozorovacích stanic při objevení se meteoru a tmavší čáry, kde byl naposledy viděn. Modrá šipka značí viditelnou dráhu meteoru.

static map
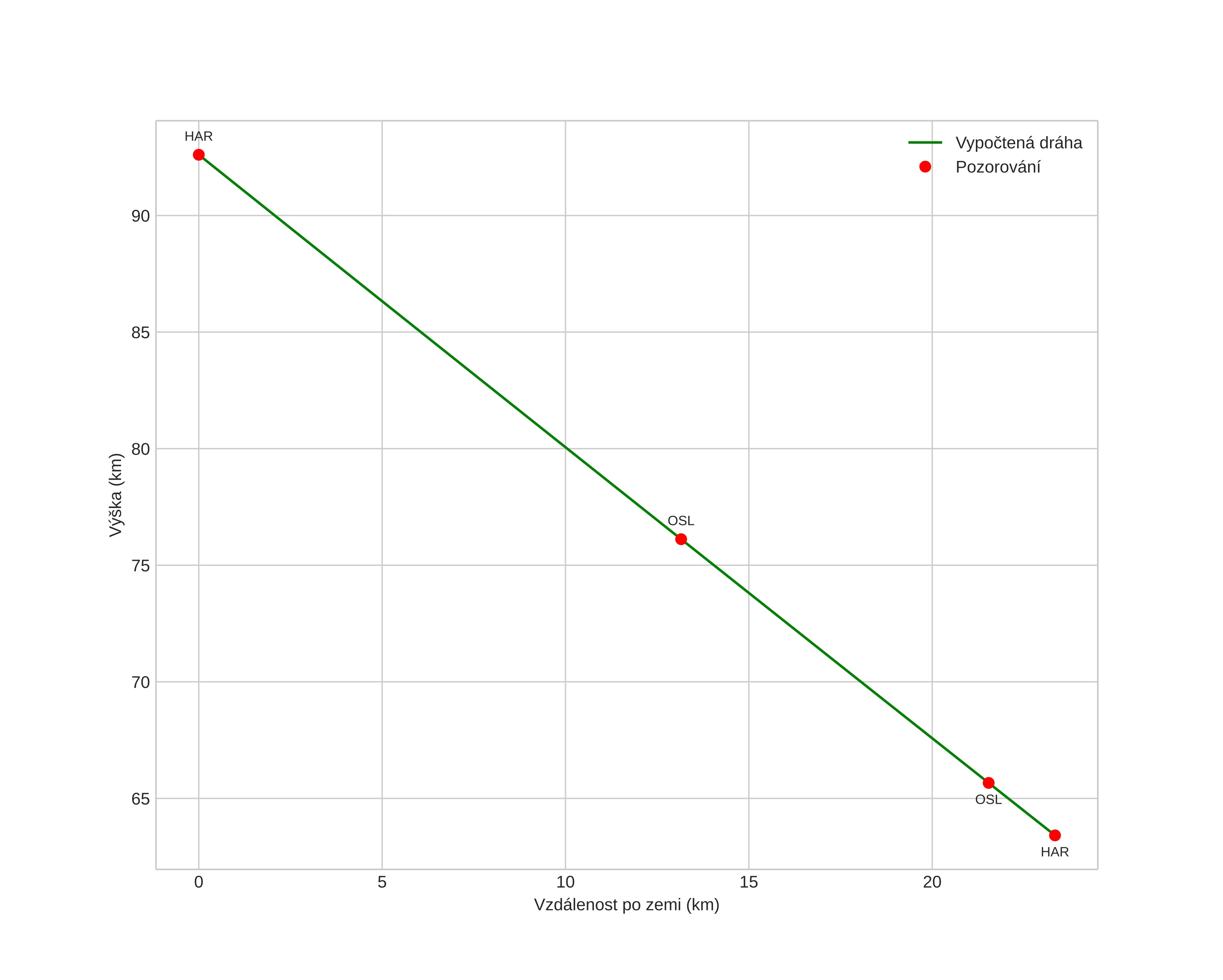
height profile
Atmosférická dráha meteoru:
Počáteční výška: 92,6 km
Konečná výška: 63,4 km
Počáteční poloha: 61,879N 8,501E
Konečná poloha: 62,025N 8,822E
Směr: 45,9°
Sklon: 51,4°
VstupnĂ­ rychlost: 31,7 km/s
Rektascenze radiantu: 03:07 (46,9°)
Deklinace radiantu: 27,5°
MeteorickĂ˝ roj: SevernĂ­ Tauridy
Elementy dráhy meteoroidu:
Vzdálenost v periheliu: 0,374 AU
Excentricita: 0,875
Sklon dráhy: 11,3°
Délka vzestupného uzlu: 221,6°
Argument perihelia: 289,5°
Střední anomálie: 352,2°
Epocha: 2017 NOV 04 01:47:52
orbit plot

NeinteraktivnĂ­ graf | InteraktivnĂ­ graf

position vs time
speed and acceleration