🇳🇴 🇬🇧 🇩🇪 🇨🇿 🇫🇮

Meteor über Eidfjord 2017-11-09 20:53:30 UTC

KML-Datei  |  Interaktive Karte

Die Karte zeigt die Peilungen für den Meteor. Die helleren Linien zeigen die Richtungen von den Beobachtungsorten beim Erscheinen des Meteors, und die dunkleren Linien, wo er zuletzt gesehen wurde. Der blaue Pfeil zeigt die sichtbare Bahn des Meteors.

static map
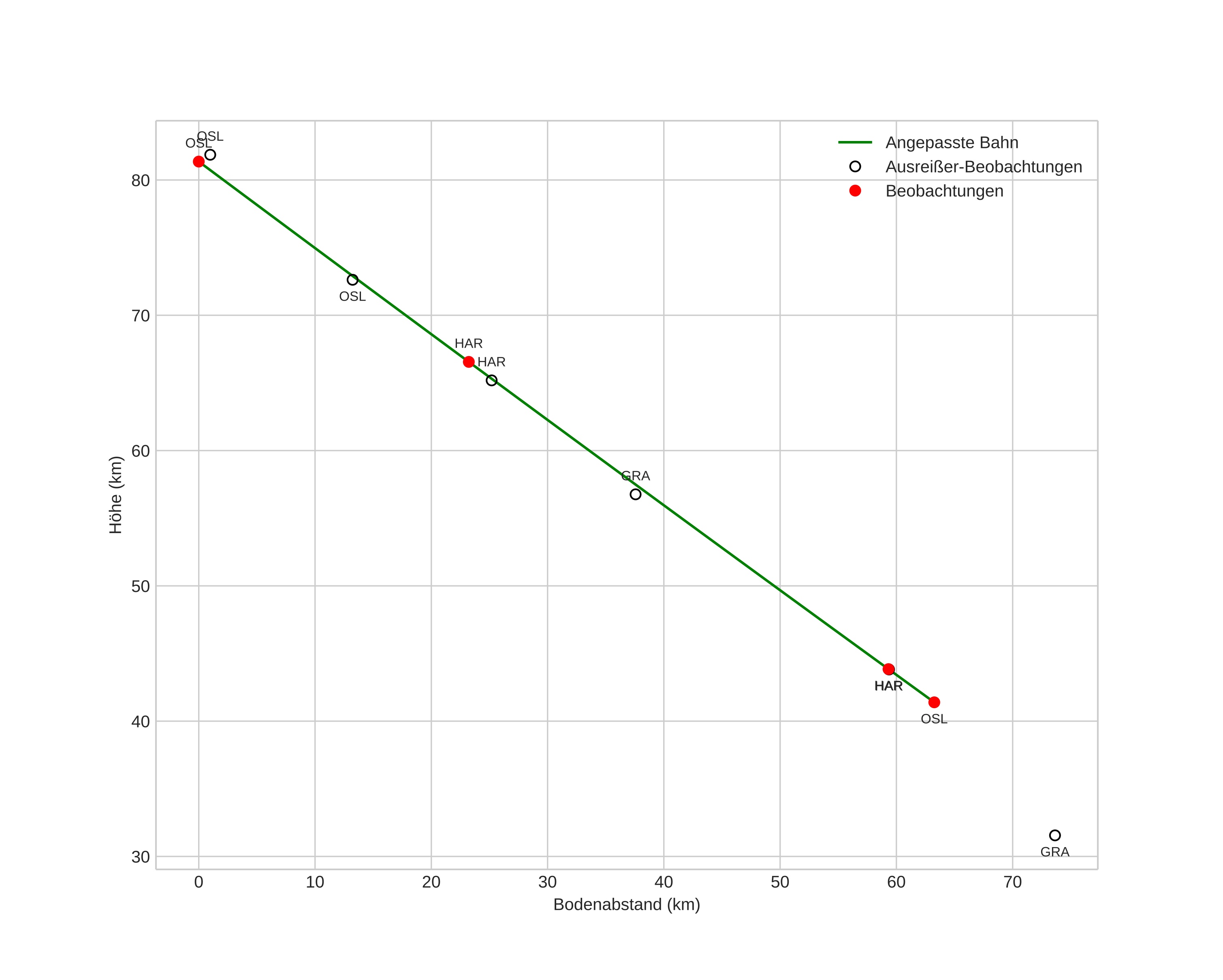
height profile
Atmosphärische Bahn des Meteors:
Anfangshöhe: 81,4 km
Endhöhe: 41,4 km
Startposition: 59,687N 8,152E
Endposition: 60,044N 7,270E
Richtung: 309,3°
Neigungswinkel: 32,3°
Eintrittsgeschwindigkeit: 26,0 km/s
Rektaszension des Radianten: 03:32 (53,1°)
Deklination des Radianten: 8,1°
Meteorstrom: Südliche Tauriden
Bahnelemente des Meteoroiden:
Periheldistanz: 0,508 AU
Exzentrizität: 0,741
Inklination: 8,8°
Länge des aufsteigenden Knotens: 47,4°
Argument des Perihels: 98,4°
Mittlere Anomalie: 343,4°
Epoche: 2017 NOV 09 20:53:30
orbit plot

Nicht-interaktives Diagramm | Interaktives Diagramm

position vs time
speed and acceleration