🇳🇴 🇬🇧 🇩🇪 🇨🇿 🇫🇮

Meteor, poloha: Ă…sa 2017-11-11 04:59:11 UTC

Soubor KML  |  InteraktivnĂ­ mapa

Mapa zobrazuje dráhy meteoru. Světlejší čáry ukazují směry od pozorovacích stanic při objevení se meteoru a tmavší čáry, kde byl naposledy viděn. Modrá šipka značí viditelnou dráhu meteoru.

static map
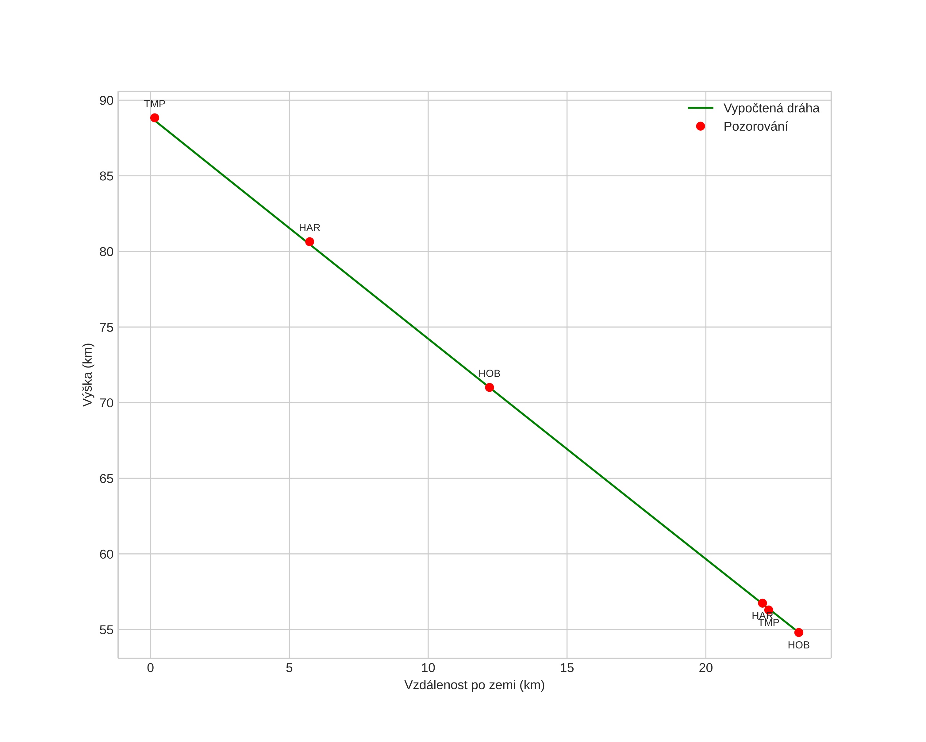
height profile
Atmosférická dráha meteoru:
Počáteční výška: 88,9 km
Konečná výška: 54,8 km
Počáteční poloha: 57,590N 12,165E
Konečná poloha: 57,385N 12,081E
Směr: 192,4°
Sklon: 55,6°
VstupnĂ­ rychlost: 36,7 km/s
Rektascenze radiantu: 16:20 (245,1°)
Deklinace radiantu: 83,0°
MeteorickĂ˝ roj: sporadickĂ˝
Elementy dráhy meteoroidu:
Vzdálenost v periheliu: 0,959 AU
Excentricita: 0,839
Sklon dráhy: 56,6°
Délka vzestupného uzlu: 228,7°
Argument perihelia: 201,5°
Střední anomálie: 359,0°
Epocha: 2017 NOV 11 04:59:11
orbit plot

NeinteraktivnĂ­ graf | InteraktivnĂ­ graf

position vs time
speed and acceleration